Скачать ГОСТ Р 55342-2012 Представление и обмен данными по режущим инструментам. Часть 150. Руководство пользователяДата актуализации: 01.06.2025 ГОСТ Р 55342-2012
Представление и обмен данными по режущим инструментам. Часть 150. Руководство пользователя
| Обозначение: |  ГОСТ Р 55342-2012 |
| Статус: | действующий |
| Название рус.: | Представление и обмен данными по режущим инструментам. Часть 150. Руководство пользователя | | Дата актуализации текста: | 06.04.2015 | | Дата актуализации описания: | 01.07.2023 | | Дата издания: | 26.12.2014 | | Дата введения: | 01.01.2014 | | Аутентичен стандартам: | ISO/TS 13399-150:2008 | | Нормативные ссылки: | ISO 639-2;ISO 3166-1;ISO 13584;ISO 10303-21 | | Область применения: | Настоящий стандарт устанавливает руководство по использованию комплекса международных стандартов ИСО 13399 в целом, включая указания по реализации схемы EXPRESS, описанной в ИСО 13399-1, а также по применению ссылочных данных, приведенных в ИСО/ТС 13399-2, ИСО/ТС 13399-3, ИСО/ТС 13399-4, ИСО/ТС 13399-5, ИСО/ТС 13399-50 и ИСО/ТС 13399-60. Настоящий стандарт не определяет термины и свойства режущих элементов, частей инструментов, адаптивных и сборочных элементов, ссылочных и соединительных систем, а также общих особенностей | |
                                                                                     
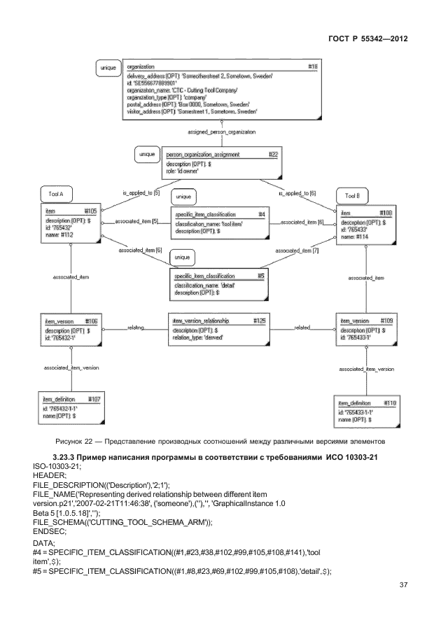
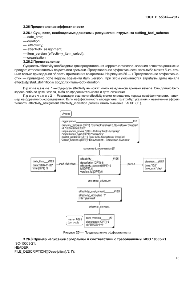
|