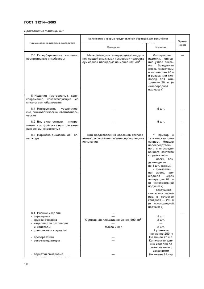
Скачать ГОСТ 31214-2003 Изделия медицинские. Требования к образцам и документации, представляемым на токсикологические, санитарно-химические испытания, испытания на стерильность и пирогенностьДата актуализации: 01.06.2025 ГОСТ 31214-2003
Изделия медицинские. Требования к образцам и документации, представляемым на токсикологические, санитарно-химические испытания, испытания на стерильность и пирогенность
| Обозначение: |  ГОСТ 31214-2003 |
| Статус: | заменён |
| Название рус.: | Изделия медицинские. Требования к образцам и документации, представляемым на токсикологические, санитарно-химические испытания, испытания на стерильность и пирогенность | | Дата актуализации текста: | 01.01.2021 | | Дата актуализации описания: | 01.07.2023 | | Дата регистрации: | 05.12.2003 | | Дата издания: | 18.02.2014 | | Дата введения: | 01.01.2015 | | Дата окончания срока действия: | 01.10.2017 | | Заменяющий: | ГОСТ 31214-2016 | | Область применения: | Настоящий стандарт устанавливает требования к документации и образцам медицинских изделий (материалам), представляемым организациями и учреждениями на токсикологические, санитарно-химические испытания, испытания на стерильность и пирогенность (далее - испытания). Испытаниям подлежат: - материалы отечественного и зарубежного производства, предполагаемые к применению в медицинских изделиях (на этапе, предшествующем разработке изделия); - вновь разработанные или впервые поставляемые в Россию медицинские изделия, в том числе изготовленные из материалов, применяемых ранее в аналогичных или других медицинских изделиях; - медицинские изделия, вошедшие в номенклатуру продукции, подлежащей обязательной сертификации | |
                 
|