| Обозначение: |  ГОСТ 31510.2-2012 |
| Статус: | не действует в РФ |
| Название рус.: | Системы ингаляционного наркоза. Часть 2. Анестезиологические циркуляционные дыхательные контуры |
| Дата актуализации текста: | 06.04.2015 |
| Дата актуализации описания: | 01.07.2023 |
| Дата регистрации: | 24.05.2012 |
| Дата издания: | 22.09.2014 |
| Дата введения: | 01.01.2015 |
| Дата окончания срока действия: | 01.03.2015 |
| Содержит требования: | ISO 8835-2:1993 |
| На территории РФ пользоваться: | ГОСТ Р ИСО 80601-2-13-2013 |
| Нормативные ссылки: | ГОСТ 24264.2-94; ГОСТ 31518.1-2012 |
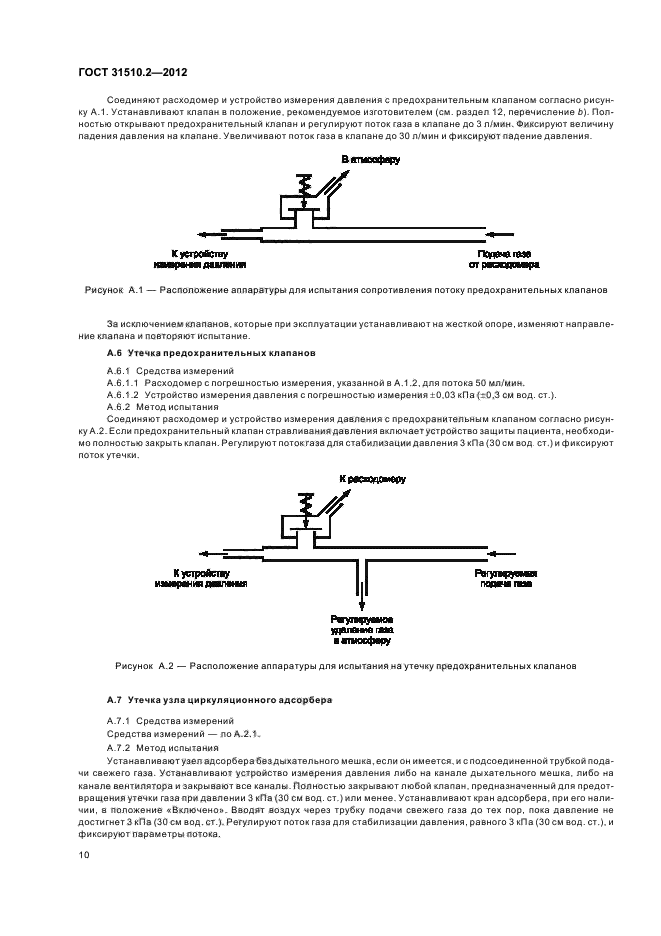
| Область применения: | Настоящий стандарт устанавливает требования к системам ингаляционного наркоза циркуляционно-адсорбционных дыхательных систем, которые поставляются изготовителем либо в собранном виде, либо должны быть собраны заказчиком в соответствии с инструкциями изготовителя, а также к дополнительным дыхательным приспособлениям, в частности, адсорберам двуокиси углерода, обратным клапанам и регулируемым клапанам ограничения давления. Настоящий стандарт не распространяется на анестезиологические вентиляторы и на эксплуатационные характеристики дыхательных контуров в отношении устранения выдыхаемой двуокиси углерода, поскольку это сложный процесс, который зависит от взаимодействия пациента, потока свежего газа и собственно дыхательного контура. Однако настоящий стандарт включает требования к дыхательным контурам и сопутствующему оборудованию, предназначенному для использования в стоматологических анестезиологических машинах. Требования настоящего стандарта являются обязательными |
| Список изменений: | №0 от 01.03.2015 (рег. 06.05.2013) «Поправка к изменению» |
|