| Обозначение: |  ГОСТ 19804-2012 |
| Статус: | заменён |
| Название рус.: | Сваи железобетонные заводского изготовления. Общие технические условия |
| Дата актуализации текста: | 01.06.2022 |
| Дата актуализации описания: | 01.07.2023 |
| Дата регистрации: | 18.12.2012 |
| Дата издания: | 15.08.2014 |
| Дата введения: | 01.01.2014 |
| Дата окончания срока действия: | 01.09.2022 |
| Взамен: | ГОСТ 19804-91; ГОСТ 19804.2-79; ГОСТ 19804.4-78; ГОСТ 19804.5-83 |
| Заменяющий: | ГОСТ 19804-2021 |
| Нормативные ссылки: | ГОСТ 5781-82; ГОСТ 6727-80; ГОСТ 7348-81; ГОСТ 8267-93; ГОСТ 8829-94; ГОСТ 10060.0-95; ГОСТ 10180-90; ГОСТ 10884-94; ГОСТ 10922-90; ГОСТ 12730.0-78; ГОСТ 12730.5-84; ГОСТ 13015-2003; ГОСТ 13840-68; ГОСТ 17624-87; ГОСТ 17625-83; ГОСТ 18105-2010; ГОСТ 22362-77; ГОСТ 22690-88; ГОСТ 22904-93; ГОСТ 23009-78; ГОСТ 26134-84; ГОСТ 26433.0-85; ГОСТ 26433.1-89; ГОСТ 26633-91 |
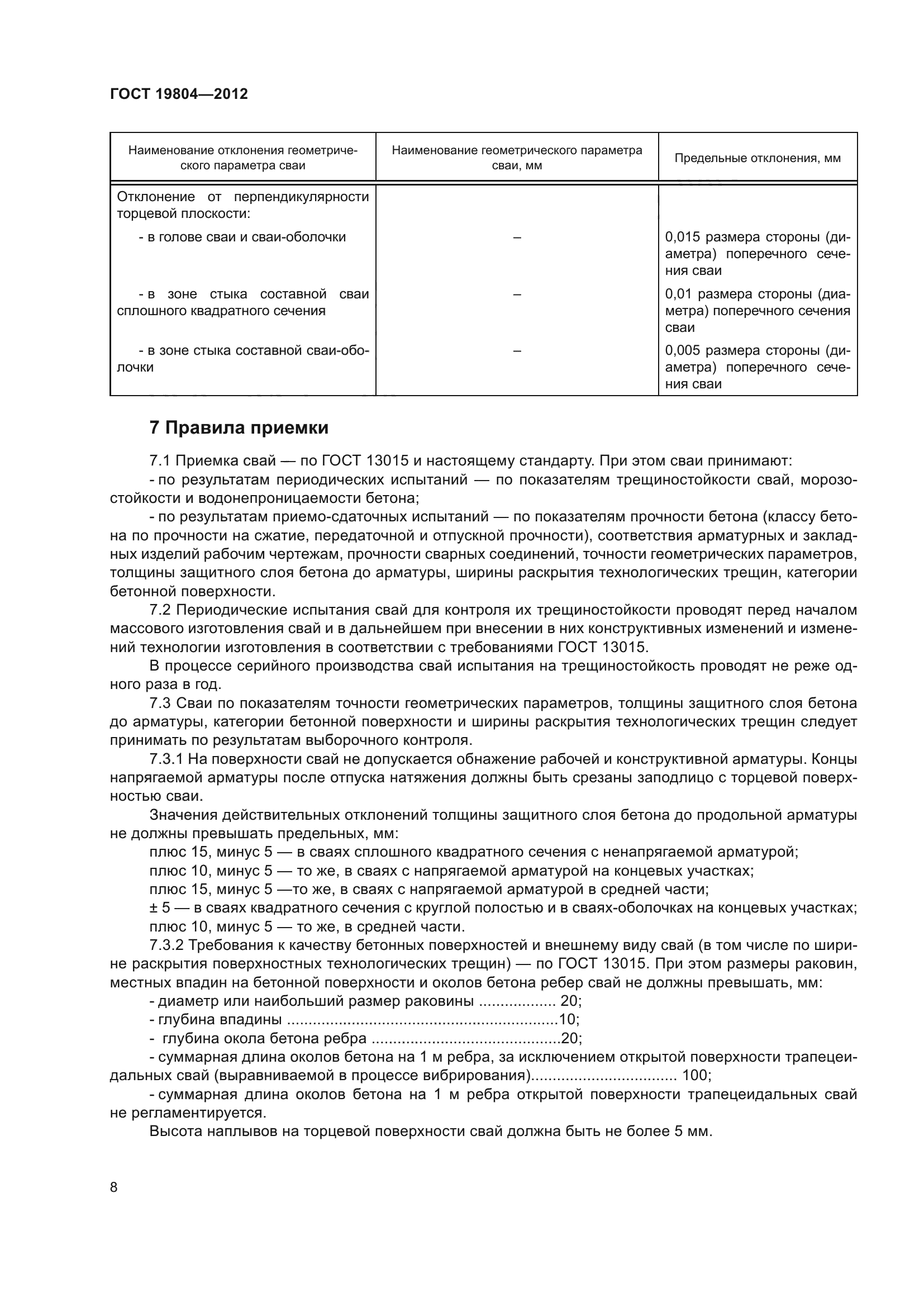
| Область применения: | Настоящий стандарт устанавливает общие требования к железобетонным сваям заводского изготовления. Настоящий стандарт предназначен для разработки нормативных документов и технической документации на конкретные виды изделий. Область применения свай в зависимости от типа сооружения и грунтовых условий приведена в приложении А |
| Приложение №1: | Поправка к ГОСТ 19804-2012 |
|