| Обозначение: |  ГОСТ 32016-2012 |
| Статус: | действующий |
| Название рус.: | Материалы и системы для защиты и ремонта бетонных конструкций. Общие требования |
| Дата актуализации текста: | 01.01.2021 |
| Дата актуализации описания: | 01.07.2023 |
| Дата регистрации: | 18.12.2012 |
| Дата издания: | 10.04.2014 |
| Дата введения: | 01.01.2014 |
| Нормативные ссылки: | ГОСТ 12020-72; ГОСТ 31383-2008; ГОСТ 31384-2008 |
| Область применения: | Настоящий стандарт устанавливает общие требования к защите и ремонту бетонных и железобетонных (далее - бетонные) конструкций. Стандарт распространяется на все конструкции, открытые атмосферным воздействиям, а также подземные и подводные конструкции, как вновь возводимые, так и находящиеся в эксплуатации |
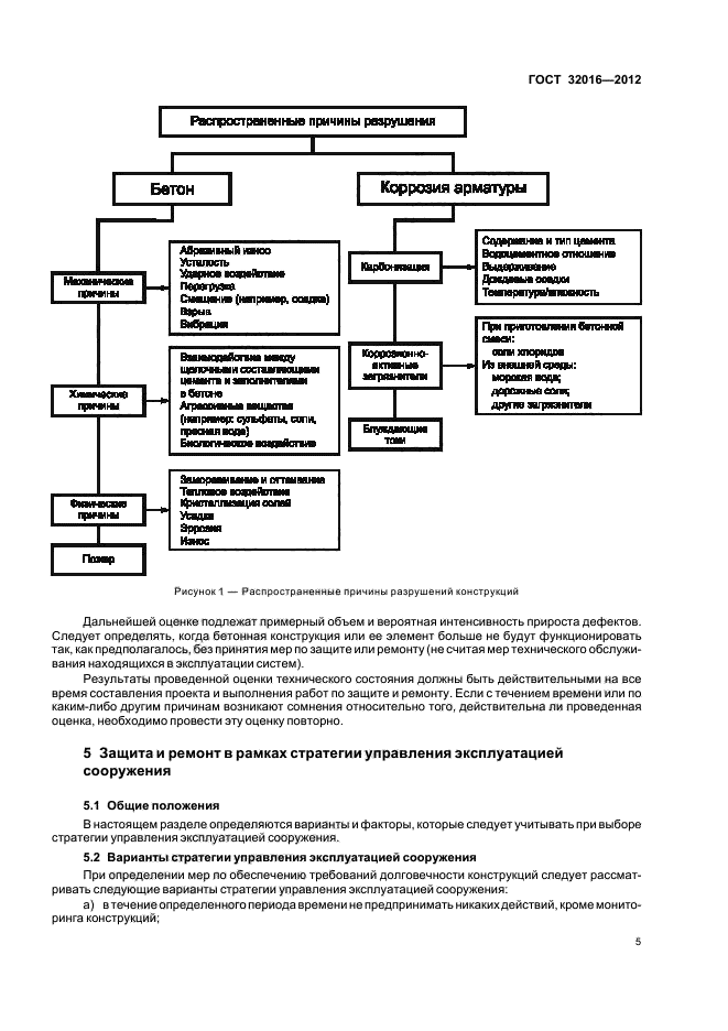
|