Скачать ГОСТ Р ИСО 14708-1-2012 Имплантаты хирургические. Активные имплантируемые медицинские изделия. Часть 1. Общие требования к безопасности, маркировке и информации, предоставляемой изготовителемДата актуализации: 01.06.2025 ГОСТ Р ИСО 14708-1-2012
Имплантаты хирургические. Активные имплантируемые медицинские изделия. Часть 1. Общие требования к безопасности, маркировке и информации, предоставляемой изготовителем
| Обозначение: |  ГОСТ Р ИСО 14708-1-2012 |
| Статус: | действующий |
| Название рус.: | Имплантаты хирургические. Активные имплантируемые медицинские изделия. Часть 1. Общие требования к безопасности, маркировке и информации, предоставляемой изготовителем | | Дата актуализации текста: | 06.04.2015 | | Дата актуализации описания: | 01.07.2023 | | Дата издания: | 05.03.2014 | | Дата введения: | 01.01.2014 | | Аутентичен стандартам: | ISO 14708-1:2000 | | Нормативные ссылки: | ISO 8601:1998;ISO 11607:1997;ISO 14155:1996;ISO 15223:2000;IEC 60068-2-14(1986);IEC 60068-2-32(1990);IEC 60068-2-47(1999);IEC 60068-2-64(1993);IEC 60601-1(1988);IEC 60601-1-1(1992);IEC 60601-1-2(1993);IEC 60601-1-4(1996);IEC 60601-2-27(1994);IEC 61000-4-2(1995) | | Область применения: | Настоящий стандарт устанавливает общие требования к активным имплантируемым медицинским изделиям. Методы испытаний, приведенные в настоящем стандарте, предназначены для оценки соответствия на образцах изделий и не предназначены для испытаний изготавливаемой продукции. Настоящий стандарт применим к активным имплантируемым медицинским изделиям, приводимых в действие не только силой электрического тока, но и с помощью других источников энергии. Настоящий стандарт также применим к некоторым видам неимплантируемых частей медицинских изделий и принадлежностей к ним | |
                                     
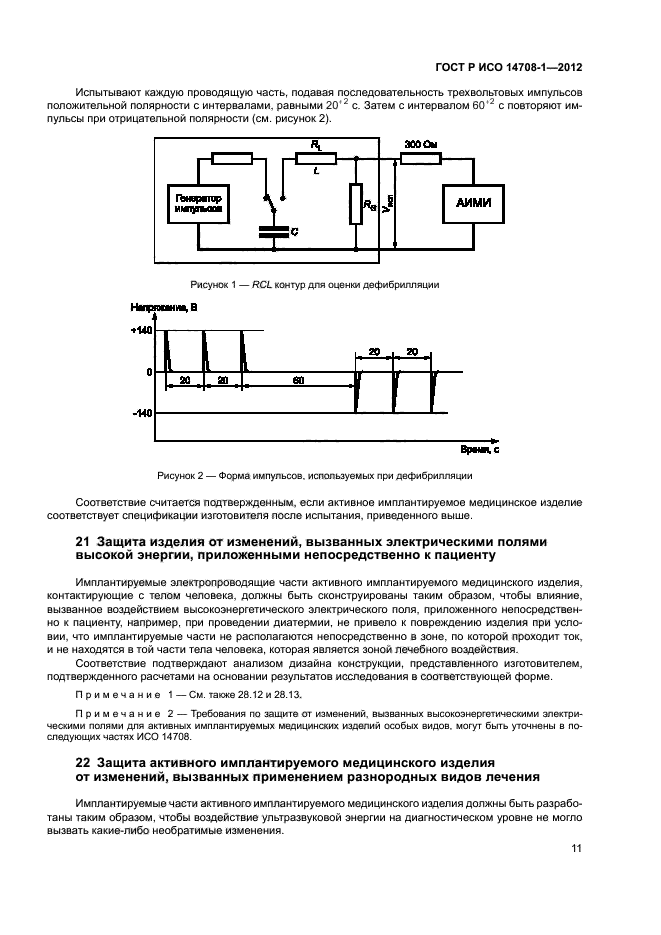
|