| Обозначение: |  ГОСТ 32014-2012 |
| Статус: | действующий |
| Название рус.: | Продукты пищевые, продовольственное сырье. Метод определения остаточного содержания метаболитов нитрофуранов с помощью высокоэффективной жидкостной хроматографии с масс-спектрометрическим детектором |
| Название англ.: | Food products, food raw materials. Method of determination of the nitrofuran mytobolites by high performance liquid chromatography - mass spectrometry (HPLC-MS) |
| Дата актуализации текста: | 01.01.2021 |
| Дата актуализации описания: | 01.07.2023 |
| Дата регистрации: | 03.12.2012 |
| Дата издания: | 21.11.2013 |
| Дата введения: | 01.07.2014 |
| Нормативные ссылки: | ГОСТ ИСО 5725-6-2003; ГОСТ 12.1.005-88; ГОСТ 12.1.007-76; ГОСТ 12.1.019-79; ГОСТ 12.2.085-2002; ГОСТ 1770-74; ГОСТ 2603-79; ГОСТ 4328-77; ГОСТ 5848-73; ГОСТ 6552-80; ГОСТ 6709-72; ГОСТ 6995-77; ГОСТ 13867-68; ГОСТ 14261-77; ГОСТ 19792-2001; ГОСТ 22300-76; ГОСТ 24104-2001; ГОСТ 25336-82; ГОСТ 29227-91; ГОСТ 31654-2012; ГОСТ 31720-2012; ГОСТ 26809.2-2014; ГОСТ Р ИСО 5725-6–2002; ГОСТ Р 12.1.019–2009; ГОСТ Р 54644–2011; ГОСТ Р 53228–2008; ГОСТ 31339–2006; ГОСТ 5962-2013; ГОСТ 26809.1-2014; ГОСТ 29245-91 |
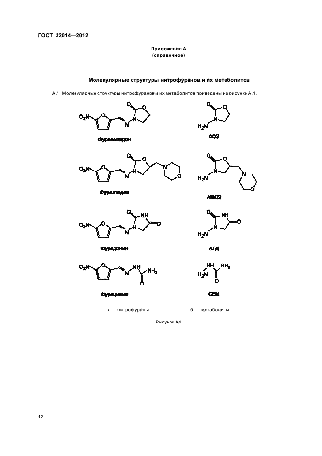
| Область применения: | Настоящий стандарт распространяется на молоко, молочные продукты, яйца, яичный порошок, мясо и мясные продукты, включая мясо и продукты из мяса птицы, мед, креветки и устанавливает метод высокоэффективной жидкостной хроматографии с масс-спектрометрическим детектированием для определения остаточного содержания метаболитов нитрофуранов в диапазоне измерений от 1,0 до 1000,0 мкг/кг |
| Список изменений: | №0 от 19.04.2017 (рег. 19.04.2017) «Дата введения перенесена» №0 от 04.09.2017 (рег. 04.09.2017) «Дата введения перенесена» №0 от 23.08.2018 (рег. 23.08.2018) «» №1 от 01.03.2017 (рег. 27.10.2016) «Текстовое изменение; Изменены ссылочные НД» |
| Приложение №1: | Изменение к ГОСТ 32014-2012. Поправка; Изменены ссылочные НД |
| Приложение №2: | Изменение к ГОСТ 32014-2012. Текстовое изменение; Изменены ссылочные НД |
| Приложение №3: | Изменение №1 к ГОСТ 32014-2012 |
| Приложение №4: | Поправка к ГОСТ 32014-2012 |
| Приложение №5: | Поправка к ГОСТ 32014-2012 |
| Приложение №6: | Поправка к ГОСТ 32014-2012 |
| Приложение №7: | Поправка к ГОСТ 32014-2012 |
|