| Обозначение: |  ГОСТ 31943-2012 |
| Статус: | действующий |
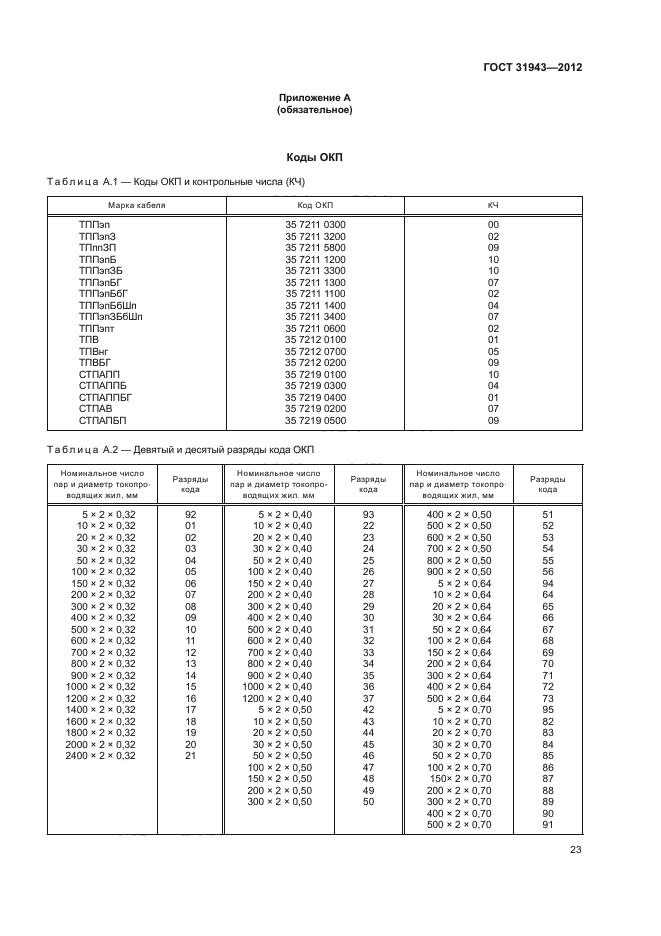
| Название рус.: | Кабели телефонные с полиэтиленовой изоляцией в пластмассовой оболочке. Технические условия |
| Название англ.: | Telephone cables with polyethylene insulation and plastic sheath. Specifications |
| Дата актуализации текста: | 06.04.2015 |
| Дата актуализации описания: | 01.07.2023 |
| Дата регистрации: | 03.12.2012 |
| Дата издания: | 20.11.2013 |
| Дата введения: | 01.01.2014 |
| Нормативные ссылки: | ГОСТ 12.2.007.0-75; ГОСТ 20.57.406-81; ГОСТ 618-73; ГОСТ 2228-81; ГОСТ 2405-88; ГОСТ 2990-78; ГОСТ 3062-80; ГОСТ 3345-76; ГОСТ 5151-79; ГОСТ 5960-72; ГОСТ 6904-83; ГОСТ 7006-72; ГОСТ 7229-76; ГОСТ 10354-82; ГОСТ 10446-80; ГОСТ 11069-2001; ГОСТ 11262-80; ГОСТ 12177-79; ГОСТ 15150-69; ГОСТ 16272-79; ГОСТ 16336-77; ГОСТ 18690-82; ГОСТ 19437-81; ГОСТ 22693-98; ГОСТ 23436-83; ГОСТ 24234-80; ГОСТ 24641-81; ГОСТ 25018-81; ГОСТ 27893-88; ГОСТ 31565-2012;ГОСТ IEC 60811-1-3-2011;ГОСТ IEC 60332-1-2-2011;ГОСТ IEC 60332-1-3-2011;ГОСТ IEC 60332-3-21-2011;ГОСТ IEC 60332-3-22-2011 |
| Область применения: | Настоящий стандарт распространяется на телефонные кабели с полиэтиленовой изоляцией в пластмассовой оболочке, предназначенные для эксплуатации в местных первичных сетях связи с номинальным напряжением дистанционного питания до 225 и 145 В переменного тока частотой 50 Гц или напряжением до 315 и 200 В постоянного тока соответственно |
|