Скачать ГОСТ 31846-2012 Специальный подвижной состав. Требования к прочности несущих конструкций и динамическим качествамДата актуализации: 01.06.2025 ГОСТ 31846-2012
Специальный подвижной состав. Требования к прочности несущих конструкций и динамическим качествам
| Обозначение: |  ГОСТ 31846-2012 |
| Статус: | действующий |
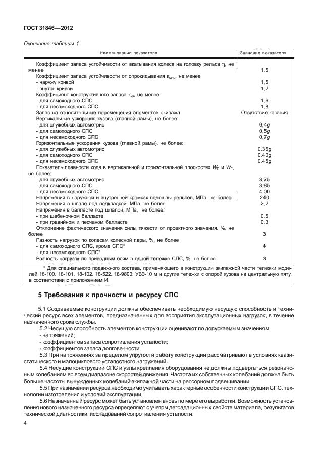
| Название рус.: | Специальный подвижной состав. Требования к прочности несущих конструкций и динамическим качествам | | Название англ.: | Special Rolling Stock. Requirements for Bearing Structure Strength and for Dynamic Properties | | Дата актуализации текста: | 06.04.2015 | | Дата актуализации описания: | 01.07.2023 | | Дата регистрации: | 15.11.2012 | | Дата издания: | 09.09.2013 | | Дата введения: | 01.01.2014 | | Код ОКП: | 318400 | | Нормативные ссылки: | ГОСТ 380-2005; ГОСТ 398-2010; ГОСТ 535-2005; ГОСТ 977-88; ГОСТ 1050-88; ГОСТ 1215-79; ГОСТ 1412-85; ГОСТ 1425-93; ГОСТ 1452-2011; ГОСТ 1497-84; ГОСТ 1583-93; ГОСТ 1759.4-87; ГОСТ 2246-70; ГОСТ 4491-86; ГОСТ 4543-71; ГОСТ 4728-2010; ГОСТ 5457-75; ГОСТ 5520-79; ГОСТ 5582-75; ГОСТ 5583-78; ГОСТ 5632-72; ГОСТ 6331-78; ГОСТ 6713-91; ГОСТ 7293-85; ГОСТ 7350-77; ГОСТ 7565-81; ГОСТ 8050-85; ГОСТ 8479-70; ГОСТ 8617-81; ГОСТ 9012-59; ГОСТ 9045-93; ГОСТ 9466-75; ГОСТ 9467-75; ГОСТ 10052-75; ГОСТ 10157-79; ГОСТ 10304-80; ГОСТ 10791-2011; ГОСТ 10885-85; ГОСТ 14637-89; ГОСТ 14955-77; ГОСТ 14959-79; ГОСТ 16523-97; ГОСТ 18855-94; ГОСТ 19281-89; ГОСТ 19905-74; ГОСТ 21354-87; ГОСТ 21357-87; ГОСТ 21631-76; ГОСТ 22536.0-87; ГОСТ 22703-91; ГОСТ 23207-78; ГОСТ 26271-88; ГОСТ 30803-2002; ГОСТ 31334-2007; ГОСТ 31847-2012 | | Область применения: | Настоящий стандарт устанавливает объем расчетов и испытаний для определения и оценки показателей динамики и прочности специального подвижного состава (далее – СПС), в т. ч. стреловых кранов (далее - КС) на железнодорожном ходу хозяйственного назначения, а также предназначенных для выполнения аварийно-восстановительных работ. Настоящий стандарт определяет требования для обеспечения необходимых показателей динамики экипажных частей, прочности металлоконструкций главных рам, кузовов, кабин, рам тележек, шкворней, несущих конструкций рабочих органов, элементов рессорного подвешивания, тягового привода, колесных пар (колесных центров, бандажей, осей колесных пар и их соединений), букс, а также деталей крепления и страховки, которые необходимы для надежного соединения и удержания в транспортном положении рабочих органов, предохранения их от выхода за установленные габариты и падения на путь. Настоящий стандарт не распространяется на составные части КС, находящиеся в ведении технадзора государств, упомянутых в предисловии как проголосовавших за принятие межгосударственного стандарта | |
                                                                     
|