| Обозначение: |  ГОСТ Р 43.2.6-2011 |
| Статус: | действующий |
| Название рус.: | Информационное обеспечение техники и операторской деятельности. Язык операторской деятельности. Морфология |
| Название англ.: | Informational ensuring of equipment and operational activity. Language of operation activity. Morphology |
| Дата актуализации текста: | 01.01.2021 |
| Дата актуализации описания: | 01.07.2023 |
| Дата издания: | 29.10.2018 |
| Дата введения: | 01.07.2013 |
| Нормативные ссылки: | ГОСТ Р 43.0.3; ГОСТ Р 43.2.3; ГОСТ Р 43.2.4 |
| Область применения: | Настоящий стандарт устанавливает общие и основные положения морфологии (морфологического представления) знаковых компонентов ЯзОД при разработке сведений для ИОТОД |
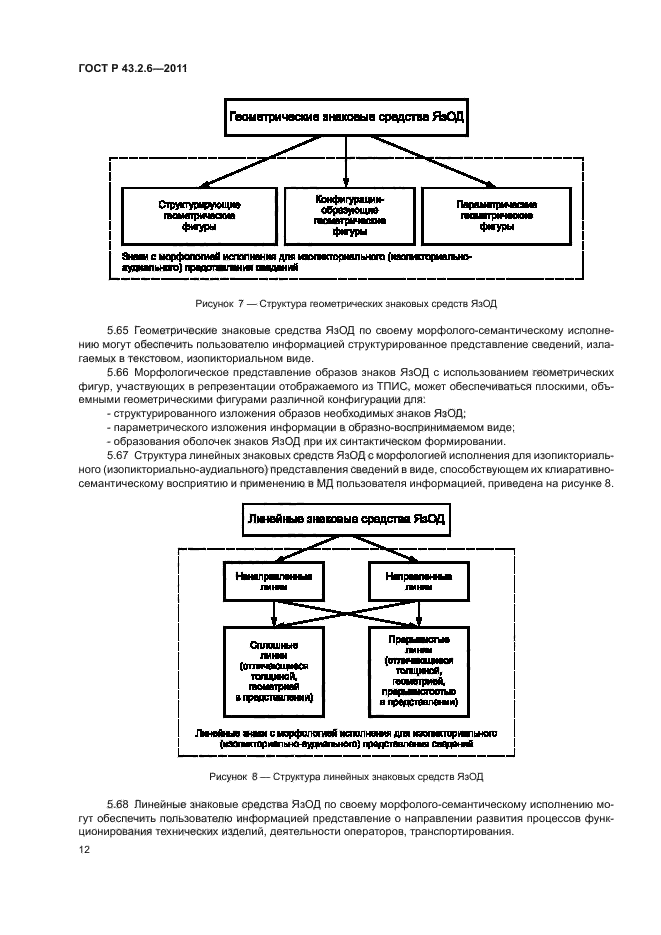
|