Скачать ГОСТ 31674-2012 Корма, комбикорма, комбикормовое сырье. Методы определения общей токсичностиДата актуализации: 01.06.2025 ГОСТ 31674-2012
Корма, комбикорма, комбикормовое сырье. Методы определения общей токсичности
| Обозначение: |  ГОСТ 31674-2012 |
| Статус: | действующий |
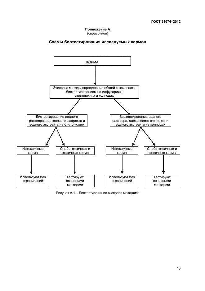
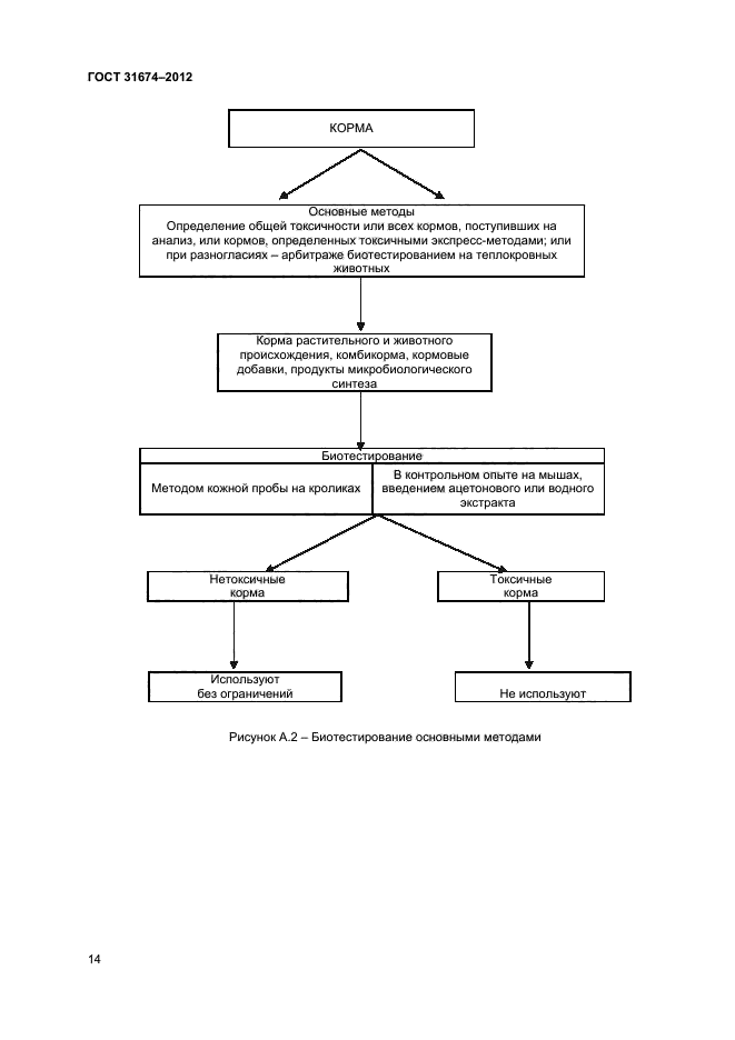
| Название рус.: | Корма, комбикорма, комбикормовое сырье. Методы определения общей токсичности | | Название англ.: | Feeds, compound feeds, material for compound feeds. Methods for the determination of common toxicity | | Дата актуализации текста: | 01.01.2021 | | Дата актуализации описания: | 01.07.2023 | | Дата регистрации: | 01.10.2012 | | Дата издания: | 05.11.2014 | | Дата введения: | 01.07.2013 | | Нормативные ссылки: | ГОСТ 12.1.004-91; ГОСТ 12.1.005-88; ГОСТ 12.1.007-76; ГОСТ 12.1.030-81; ГОСТ 166-89; ГОСТ 171-81; ГОСТ 1770-74; ГОСТ 2603-79; ГОСТ 4165-78; ГОСТ 4201-79; ГОСТ 4233-77; ГОСТ 4234-77; ГОСТ 4523-77; ГОСТ 6709-72; ГОСТ 8756.0-70; ГОСТ 9147-80; ГОСТ 12026-76; ГОСТ 13979.0-86; ГОСТ 17299-78; ГОСТ 18300-87; ГОСТ 22967-90; ГОСТ 23932-90; ГОСТ 24104-2001; ГОСТ 25336-82; ГОСТ 26312.1-84; ГОСТ 26809-86; ГОСТ 27262-87; ГОСТ 27668-88; ГОСТ 29227-91; ГОСТ Р 54731-2011; ГОСТ Р 55878-2013; ГОСТ Р 12.1.019-2009; ГОСТ 12.2.007.0-75; ГОСТ 12.4.009-83; ГОСТ 12.4.021-75; ГОСТ 975-88; ГОСТ 4209-77; ГОСТ 4328-77; ГОСТ 4461-77; ГОСТ 5556-81; ГОСТ 6038-79; ГОСТ 6292-93;ГОСТ ISO 6497-2014; ГОСТ 9793-74; ГОСТ 13805-76; ГОСТ 26809.1-2014; ГОСТ 28311-89; ГОСТ 29169-91; ГОСТ 1129-2013; ГОСТ 13586.3-2015; ГОСТ 13496.0-2016 | | Область применения: | Настоящий стандарт распространяется на фуражное зерно (пшеницу, кукурузу, овес, ячмень) и продукты его переработки (муку, крупу, отруби, лузгу, жмыхи, шроты); растительные корма (сено, солому, травяную муку); комбикорма для продуктивных и непродуктивных животных (в том числе консервы) и сырье для их производства (корма животного происхождения; продукты микробиологического синтеза; сухое молоко; концентрированные кормовые добавки). Стандарт устанавливает методы определения их общей токсичности: экспресс-методы и основные методы. Методы биотестирования являются качественными. Они дают возможность оценить общую токсичность корма | | Список изменений: | №0 от 14.06.2017 (рег. 14.06.2017) «Дата введения перенесена» №1 от 30.06.2017 (рег. 15.11.2016) «Текстовое изменение; Изменены ссылочные НД» | | Приложение №1: | Изменение №1 к ГОСТ 31674-2012 | | Приложение №2: | Поправка к ГОСТ 31674-2012 | |
                            
Изменение №1 к ГОСТ 31674-2012
| Обозначение: | Изменение №1 к ГОСТ 31674-2012 |
| Дата введения: | 01.07.2017 |
        
Поправка к ГОСТ 31674-2012
| Обозначение: | Поправка к ГОСТ 31674-2012 |
| Дата введения: | 15.06.2017 |
|