| Обозначение: |  ГОСТ ISO 18153-2011 |
| Статус: | действующий |
| Название рус.: | Изделия медицинские для диагностики in vitro. Измерение величин в биологических пробах. Метрологическая прослеживаемость значений каталитической концентрации ферментов, приписанных калибраторам и контрольным материалам |
| Название англ.: | In vitro diagnostic medical devices. Measurement of quantities in biological samples. Metrological traceability of assigned values for catalytic concentration of enzymes in calibrators and control materials |
| Дата актуализации текста: | 06.04.2015 |
| Дата актуализации описания: | 01.01.2021 |
| Дата регистрации: | 29.11.2011 |
| Дата издания: | 17.12.2012 |
| Дата введения: | 01.01.2013 |
| Аутентичен стандартам: | ISO 18153:2003 |
| Нормативные ссылки: | ISO 17511:2003 |
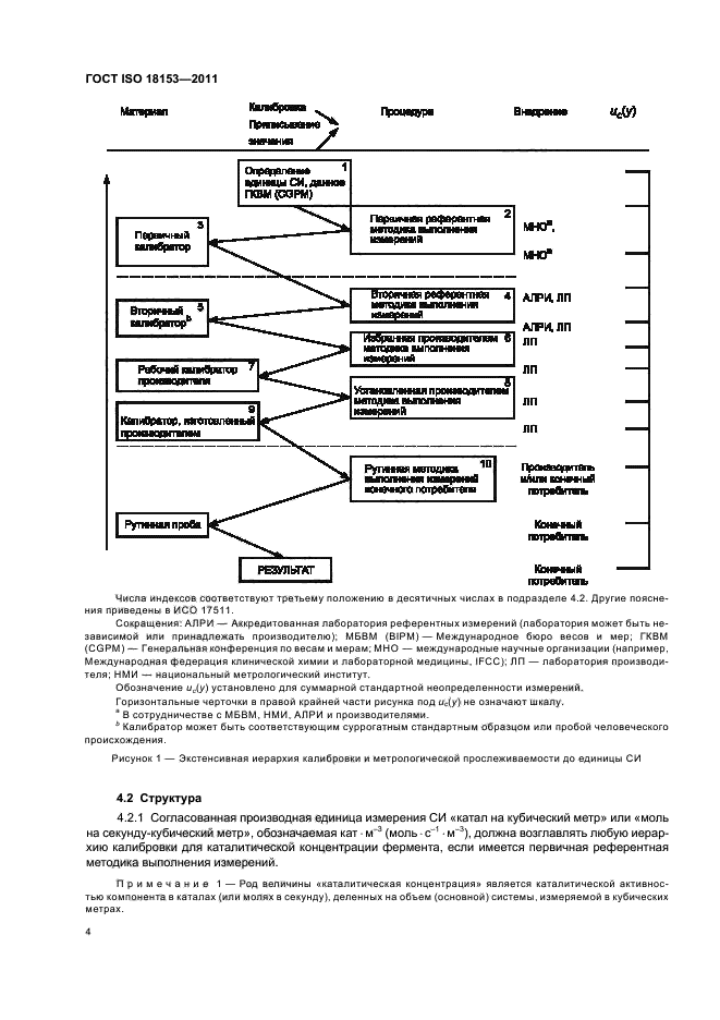
| Область применения: | Настоящий стандарт устанавливает правила обеспечения метрологической прослеживаемости значений, приписанных калибраторам и контрольным материалам, предназначенным для установления или подтверждения правильности измерения каталитической концентрации ферментов. Калибраторы и контрольные материалы предоставляются производителями как составная часть медицинских изделий для диагностики in vitro или для применения с ними |
|