| Обозначение: |  ГОСТ Р 54428-2011 |
| Статус: | действующий |
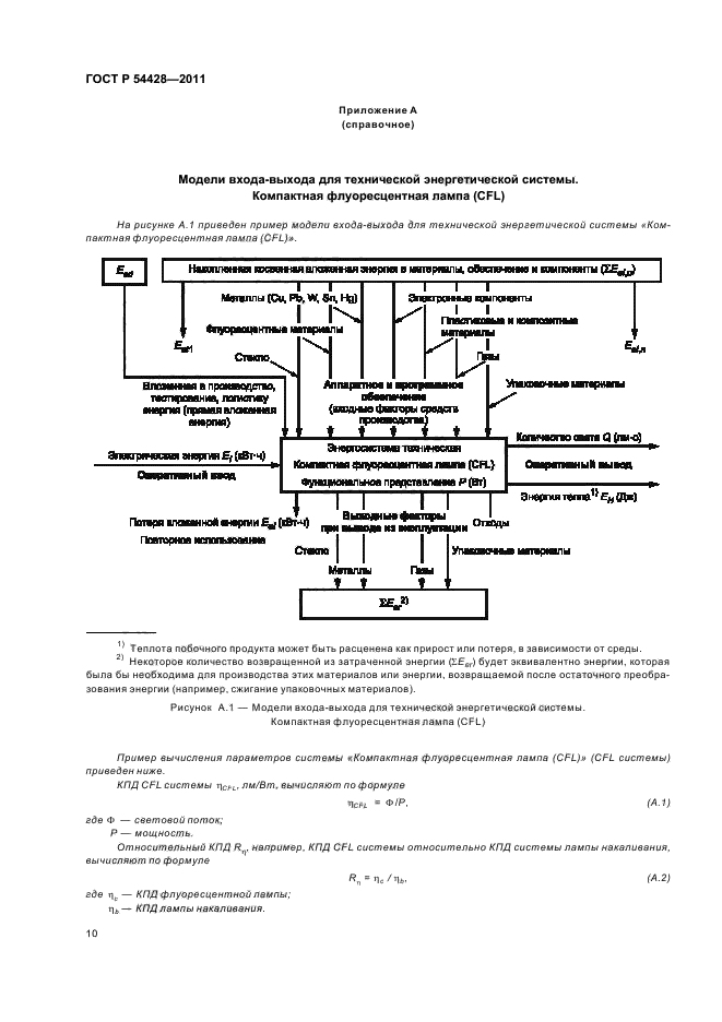
| Название рус.: | Системы технические энергетические. Методы анализа. Часть 1. Основные положения |
| Название англ.: | Technical energy systems. Methods for analysis. Part 1. Basic principles |
| Дата актуализации текста: | 06.04.2015 |
| Дата актуализации описания: | 01.07.2023 |
| Дата издания: | 22.11.2012 |
| Дата введения: | 01.07.2012 |
| Содержит требования: | ISO 13602-1:2002 |
| Нормативные ссылки: | ГОСТ Р ИСО 13600-2011; ГОСТ Р ИСО 14040-2010 |
| Область применения: | Настоящий стандарт применяется для анализа, определения характеристик и сравнения технических энергетических систем с учетом всех входных и выходных факторов, в том числе факторов риска. Настоящий стандарт содержит правила и рекомендации для такого анализа. Настоящий стандарт предназначен для установления связей между входными и выходными факторами и, таким образом, способствует подтверждению соответствия, классификации и маркированию |
|