| Обозначение: |  ГОСТ Р 54412-2011 |
| Статус: | заменён |
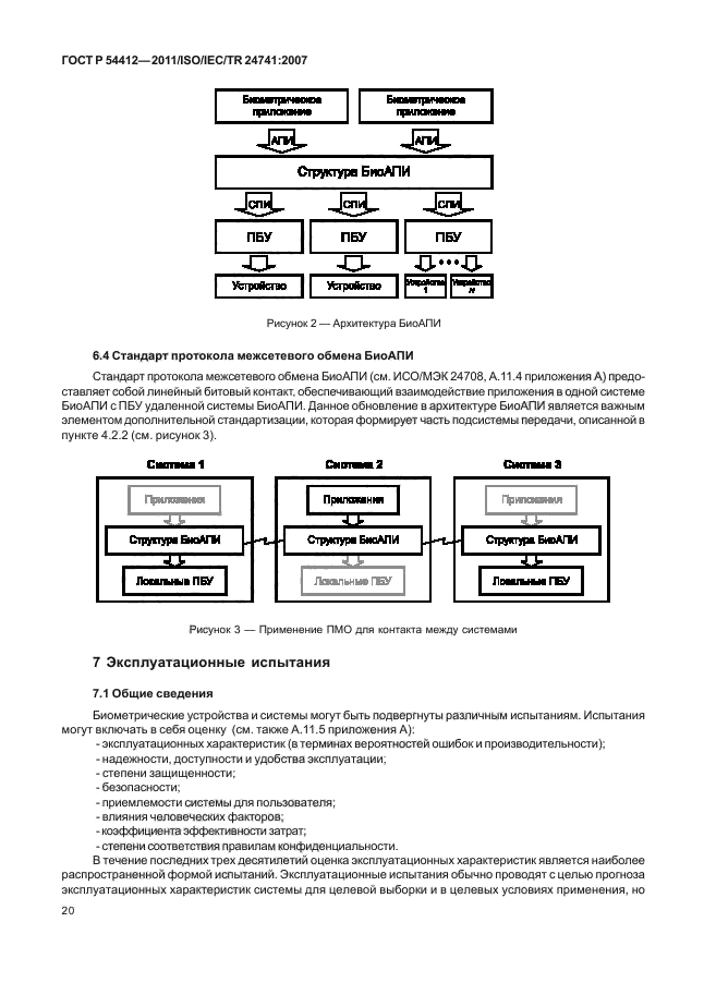
| Название рус.: | Информационные технологии. Биометрия. Обучающая программа по биометрии |
| Название англ.: | Information technology. Biometrics. Biometrics tutorial |
| Дата актуализации текста: | 06.04.2015 |
| Дата актуализации описания: | 01.07.2023 |
| Дата издания: | 13.12.2012 |
| Дата введения: | 01.07.2012 |
| Дата окончания срока действия: | 01.06.2020 |
| Заменяющий: | ГОСТ Р 54412-2019 |
| Аутентичен стандартам: | ISO/IEC TR 24741:2007 |
| Область применения: | Настоящий стандарт определяет структуру обучающей программы по биометрии. В обучающую программу включено описание архитектуры биометрических процессов и процессов как таковых. В приложениях настоящего стандарта представлены дополнительные сведения о национальных стандартах в области биометрии, термины и определения, применяющиеся в данных национальных стандартах в области биометрии |
|