| Обозначение: |  ГОСТ Р 54227-2010 |
| Статус: | отменён |
| Название рус.: | Топливо твердое из бытовых отходов. Методы отбора проб |
| Название англ.: | Solid recovered fuels. Methods for sampling |
| Дата актуализации текста: | 06.04.2015 |
| Дата актуализации описания: | 01.07.2023 |
| Дата издания: | 23.11.2012 |
| Дата введения: | 01.07.2012 |
| Дата окончания срока действия: | 01.01.2017 |
| Код ОКП: | 025149 |
| Содержит требования: | CEN/TS 15442:2006 |
| На территории РФ пользоваться: | ГОСТ 33626-2015 |
| Нормативные ссылки: | ГОСТ Р 54225-2010; ГОСТ Р 54229-2010; ГОСТ Р 54230-2010; ГОСТ Р 54235-2010 |
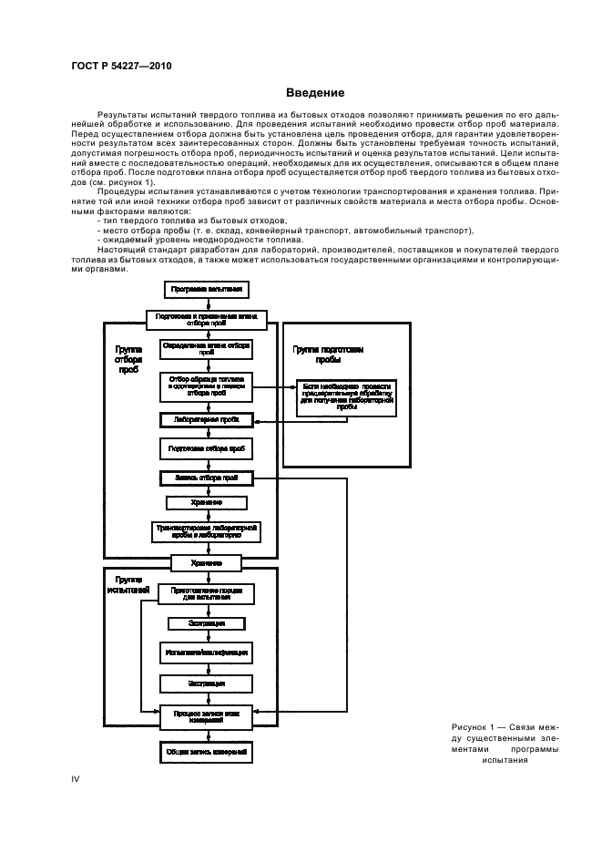
| Область применения: | Настоящий стандарт описывает методы отбора проб топлива твердого из бытовых отходов, например, на месте производства, из поставляемых партий или из складируемых запасов. Отбор может осуществляться как ручным способом, так и механическим. В стандарте не рассматривается отбор проб топлива из бытовых отходов, которое существует в виде жидкости или осадка, кроме топлива твердого из бытовых отходов в виде обезвоженного осадка |
| Список изменений: | №0 от 01.01.2017 (рег. 13.11.2015) «Текстовое изменение; Изменено заглавие» |
|