Скачать ГОСТ Р 54446-2011 Нагреватели светового излучения газовые, не предназначенные для бытового применения. Часть 1. Требования безопасностиДата актуализации: 01.06.2025 ГОСТ Р 54446-2011
Нагреватели светового излучения газовые, не предназначенные для бытового применения. Часть 1. Требования безопасности
| Обозначение: |  ГОСТ Р 54446-2011 |
| Статус: | действующий |
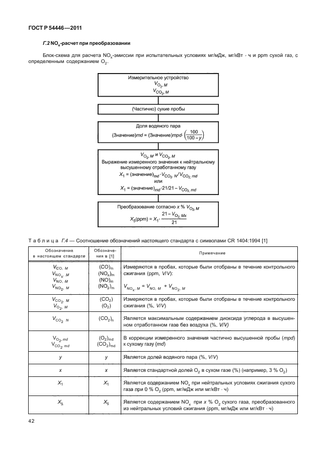
| Название рус.: | Нагреватели светового излучения газовые, не предназначенные для бытового применения. Часть 1. Требования безопасности | | Название англ.: | Non domestic gas-fired overhead luminos radiant heaters. Part 1. Safety requirements | | Дата актуализации текста: | 06.04.2015 | | Дата актуализации описания: | 01.07.2023 | | Дата издания: | 20.07.2012 | | Дата введения: | 01.07.2012 | | Код ОКП: | 369640 | | Содержит требования: | EN 419-1:2009 | | Нормативные ссылки: | ГОСТ Р 51842-2001; ГОСТ Р 51843-2001; ГОСТ Р 51982-2002; ГОСТ Р 51983-2002; ГОСТ Р 52161.1-2004; ГОСТ Р 52219-2004; ГОСТ Р 52318-2005; ГОСТ Р 54447-2011; ГОСТ 5542-87; ГОСТ 6211-81; ГОСТ 6357-81; ГОСТ 14254-96; ГОСТ 12815-80; ГОСТ 12816-80; ГОСТ 12817-80; ГОСТ 12818-80; ГОСТ 12819-80; ГОСТ 16093-2004; ГОСТ 31369-2008;МК (ИСО 3166)004-2004 | | Область применения: | Настоящий стандарт устанавливает требования к безопасности, конструкции, характеристикам, методам испытаний, а также классификации и маркировке газовых светлых излучателей с атмосферными горелками для применения в производственных помещениях (далее – аппараты). Настоящий стандарт применяется только для аппаратов модели «A1» (см. 4.3). Настоящий стандарт не применяется для аппаратов: a) спроектированных для использования в жилых помещениях; b) спроектированных для использования на открытом воздухе; c) с тепловой нагрузкой свыше 120 кВт (в пересчет на теплотворное значение стандартных испытательных газов); d) с горелками с полным предварительным смешиванием газа и воздуха, у которых: - либо газ и весь объем воздух горения соединяются незадолго до зоны сгорания, - либо предварительное смешивание газа с необходимым объемом воздуха для горения происходит в части горелки перед зоной сжигания. е) у которых подача воздуха для горения и/или отвод отработанных газов осуществляется при помощи встроенных механических приспособлений. Требования настоящего стандарта применяется к аппаратам, для проведения испытаний типового образца. Требования к аппаратам, не включенным в типовые испытания, должны быть разработаны дополнительно. Настоящий стандарт не содержит требования к аппаратам по эффективному расходу энергии | |
                                                 
|