| Обозначение: |  ГОСТ Р 54808-2011 |
| Статус: | отменён |
| Название рус.: | Арматура трубопроводная. Нормы герметичности затворов |
| Название англ.: | Pipeline valves. Leakage rates of valves |
| Дата актуализации текста: | 01.01.2021 |
| Дата актуализации описания: | 01.07.2023 |
| Дата издания: | 18.06.2012 |
| Дата введения: | 01.07.2012 |
| Дата окончания срока действия: | 01.04.2017 |
| Код ОКП: | 370000 |
| На территории РФ пользоваться: | ГОСТ 9544-2015 |
| Нормативные ссылки: | ISO 5208:2008;IEC 60534-4(2006); ГОСТ Р 53402-2009; ГОСТ Р ИСО 8573-1-2005; ГОСТ 12893-2005; ГОСТ 17433-80 |
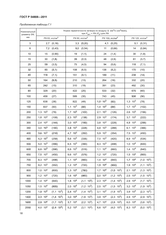
| Область применения: | Настоящий стандарт устанавливает нормы и классы герметичности затворов трубопроводной арматуры (далее – арматура) номинальных диаметров от DN 3 до DN 2000 на номинальные давления от PN 1 до PN 420 всех видов (запорная, обратная, предохранительная, регулирующая, распределительно-смесительная, фазоразделительная) и всех типов (задвижки, клапаны, краны и дисковые затворы), а также для комбинированной арматуры. Нормы герметичности, приведенные в стандарте, применяют при всех видах испытаний, а также при проверках герметичности затвора арматуры в процессе эксплуатации. Настоящий стандарт пригоден для целей подтверждения соответствия |
| Список изменений: | №0 от 25.12.2012 (рег. 25.12.2012) «Дата введения перенесена» №0 от 31.03.2017 (рег. 25.05.2015) «Текстовое изменение; Изменено заглавие» |
| Приложение №1: | Поправка к ГОСТ Р 54808-2011 |
|