| Обозначение: |  ГОСТ 17187-2010 |
| Статус: | не действует в РФ |
| Название рус.: | Шумомеры. Часть 1. Технические требования |
| Название англ.: | Sound level meters. Part 1. Technical requirements |
| Дата актуализации текста: | 06.04.2015 |
| Дата актуализации описания: | 01.07.2023 |
| Дата регистрации: | 10.06.2010 |
| Дата издания: | 02.10.2012 |
| Дата введения: | 01.11.2012 |
| Дата окончания срока действия: | 01.12.2019 |
| Взамен в части: | ГОСТ 17187-81 в части технических требований |
| Содержит требования: | IEC 61672-1(2002) |
| На территории РФ пользоваться: | ГОСТ Р 53188.1-2019 |
| Нормативные ссылки: | ГОСТ 30804.4.2-2002; ГОСТ 30804.6.2-2002; ГОСТ 30847-2002 |
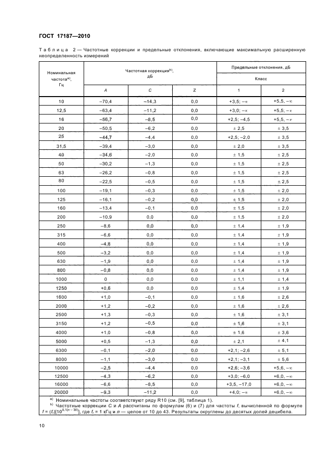
| Область применения: | Настоящий стандарт устанавливает требования к электроакустическим характеристикам для приборов трех видов, предназначенных для измерения звука: - обычные шумомеры, которые измеряют уровень звука с экспоненциальной временной коррекцией; - интегрирующие-усредняющие шумомеры, которые измеряют линейно усредненный по времени уровень звука; - интегрирующие шумомеры, которые измеряют уровень звукового воздействия. Отдельный прибор может выполнять любой или все из указанных видов измерений. Дополнительные технические требования приведены для измерений максимального уровня звука с временной коррекцией и пикового корректированного по С уровня звука. Шумомеры, удовлетворяющие требованиям настоящего стандарта, должны иметь частотную характеристику А |
|