Скачать ГОСТ Р ИСО 13374-1-2011 Контроль состояния и диагностика машин. Обработка, передача и представление данных. Часть 1. Общее руководствоДата актуализации: 01.06.2025 ГОСТ Р ИСО 13374-1-2011
Контроль состояния и диагностика машин. Обработка, передача и представление данных. Часть 1. Общее руководство
| Обозначение: |  ГОСТ Р ИСО 13374-1-2011 |
| Статус: | действующий |
| Название рус.: | Контроль состояния и диагностика машин. Обработка, передача и представление данных. Часть 1. Общее руководство | | Название англ.: | Condition monitoring and diagnostics of machines. Data processing, communication and presentation. Part 1. General guidelines | | Дата актуализации текста: | 06.04.2015 | | Дата актуализации описания: | 01.01.2021 | | Дата издания: | 30.11.2018 | | Дата введения: | 01.12.2012 | | Аутентичен стандартам: | ISO 13374-1:2003 | | Область применения: | Настоящий стандарт устанавливает общие рекомендации в отношении спецификации программного обеспечения, используемого в связи с обработкой, передачей и представлением данных в целях контроля состояния и диагностирования машин | |
                  
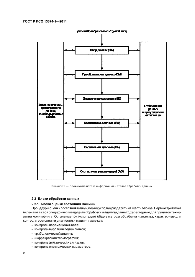
|