| Обозначение: |  ГОСТ Р ИСО 13374-2-2011 |
| Статус: | действующий |
| Название рус.: | Контроль состояния и диагностика машин. Обработка, передача и представление данных. Часть 2. Обработка данных |
| Название англ.: | Condition monitoring and diagnostics of machines. Data processing, communication and presentation. Part 2. Data processing |
| Дата актуализации текста: | 06.04.2015 |
| Дата актуализации описания: | 01.07.2023 |
| Дата издания: | 30.11.2018 |
| Дата введения: | 01.12.2012 |
| Аутентичен стандартам: | ISO 13374-2:2007 |
| Нормативные ссылки: | ISO 13374-1:2003;ISO/IEC 14750:1999 |
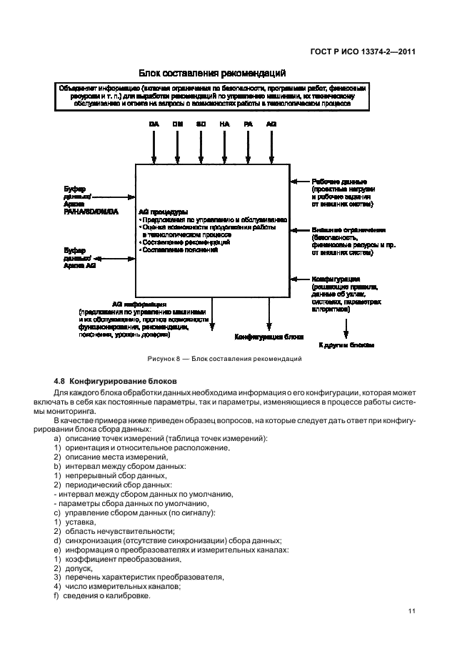
| Область применения: | Настоящий стандарт устанавливает требования к информационной модели и к модели обработки информации, которым должна соответствовать открытая архитектура систем контроля состояния и диагностирования машин в целях обеспечения их совместимости |
|