Скачать ГОСТ Р 54432-2011 Фланцы арматуры, соединительных частей и трубопроводов на номинальное давление от PN 1 до PN 200. Конструкция, размеры и общие технические требованияДата актуализации: 01.06.2025 ГОСТ Р 54432-2011
Фланцы арматуры, соединительных частей и трубопроводов на номинальное давление от PN 1 до PN 200. Конструкция, размеры и общие технические требования
| Обозначение: |  ГОСТ Р 54432-2011 |
| Статус: | отменён |
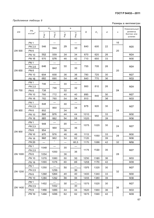
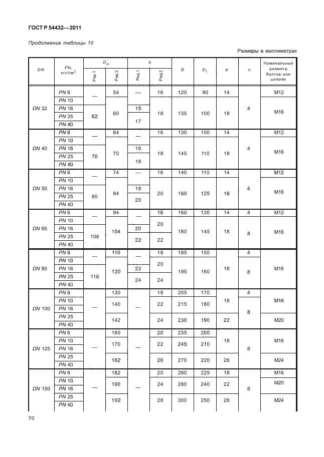
| Название рус.: | Фланцы арматуры, соединительных частей и трубопроводов на номинальное давление от PN 1 до PN 200. Конструкция, размеры и общие технические требования | | Название англ.: | Flanges for valves, fittings, and pipelines for pressure from PN 1 to PN 200. Design, dimensions and general technical requirements | | Дата актуализации текста: | 06.04.2015 | | Дата актуализации описания: | 01.07.2023 | | Дата издания: | 24.05.2012 | | Дата введения: | 01.04.2012 | | Дата окончания срока действия: | 01.04.2017 | | На территории РФ пользоваться: | ГОСТ 33259-2015 | | Нормативные ссылки: | ISO 7005-1:1992;ISO 7005-2:1988; ГОСТ Р 52376-2005; ГОСТ Р 52720-2007; ГОСТ Р 52857.4-2007; ГОСТ Р 53561-2009; ГОСТ 2.301-68; ГОСТ 9.014-78; ГОСТ 356-80; ГОСТ 977-88; ГОСТ 1050-88; ГОСТ 1215-79; ГОСТ 1412-85; ГОСТ 1536-76; ГОСТ 1577-93; ГОСТ 2590-2006; ГОСТ 2591-2006; ГОСТ 4433-76; ГОСТ 4543-71; ГОСТ 5520-79; ГОСТ 5632-72; ГОСТ 5773-90; ГОСТ 6032-2003; ГОСТ 7293-85; ГОСТ 7350-77; ГОСТ 7505-89; ГОСТ 8479-70; ГОСТ 9399-81; ГОСТ 9454-78; ГОСТ 14140-81; ГОСТ 14192-96; ГОСТ 14637-89; ГОСТ 14792-80; ГОСТ 15180-86; ГОСТ 19281-89; ГОСТ 20072-74; ГОСТ 20700-75; ГОСТ 22727-88; ГОСТ 23304-78; ГОСТ 24507-80; ГОСТ 25054-81; ГОСТ 25660-83; ГОСТ 26349-84; ГОСТ 26645-85; ГОСТ 28338-89; ГОСТ 28759.1-90; ГОСТ 30893.1-2002 | | Область применения: | Настоящий стандарт распространяется на присоединительные фланцы трубопроводной арматуры, соединительных частей и трубопроводов, а также на присоединительные фланцы машин, приборов, патрубков, аппаратов и резервуаров на номинальное давление от PN 1 до PN 200 и устанавливает конструкцию и размеры стальных и чугунных фланцев, определяет типы фланцев, типы форм уплотнительных поверхностей, устанавливает технические требования к изготовлению, маркировке, испытаниям и контролю. Также в настоящем стандарте приведены рекомендации по выбору материала для фланцев и крепежных деталей. На фланцы для других объектов, параметров и условий применения действуют ГОСТ 1536, ГОСТ 4433, ГОСТ 9399, ГОСТ 25660, ГОСТ 28759.1-ГОСТ 28759.5. Стандарт может быть использован для подтверждения соответствия. | | Список изменений: | №0 от 25.12.2012 (рег. 25.12.2012) «Дата введения перенесена» №0 от 31.03.2017 (рег. 25.05.2015) «Текстовое изменение; Изменено заглавие» | | Приложение №1: | Поправка к ГОСТ Р 54432-2011 | |
                                                                                               
Поправка к ГОСТ Р 54432-2011
| Обозначение: | Поправка к ГОСТ Р 54432-2011 |
| Дата введения: | 25.12.2012 |

|