| Обозначение: |  ГОСТ Р 54781-2011 |
| Статус: | действующий |
| Название рус.: | Машины для уборки картофеля. Методы испытаний |
| Название англ.: | Potato harvesting machines. Test methods |
| Дата актуализации текста: | 01.01.2021 |
| Дата актуализации описания: | 01.07.2023 |
| Дата издания: | 22.07.2020 |
| Дата введения: | 01.03.2012 |
| Нормативные ссылки: | ГОСТ 12.1.003; ГОСТ 12.1.012; ГОСТ 12.2.002; ГОСТ 12.2.019; ГОСТ 12.2.120; ГОСТ 427; ГОСТ 7502; ГОСТ 8769; ГОСТ ИСО 14269-2; ГОСТ ИСО 14269-5; ГОСТ 16504; ГОСТ 20062; ГОСТ 20915; ГОСТ 21623; ГОСТ 23493; ГОСТ 23932; ГОСТ 25866; ГОСТ 26026; ГОСТ 26336; ГОСТ 26953; ГОСТ 28713; ГОСТ 31191.1; ГОСТ 31192.2; ГОСТ 31319; ГОСТ Р 50779.10; ГОСТ Р 52489; ГОСТ Р 52777; ГОСТ Р 52778; ГОСТ Р 53056; ГОСТ Р 53228; ГОСТ Р 53489; ГОСТ Р 54783; ГОСТ Р 54784; ГОСТ Р ИСО 3534-1-2019; ГОСТ 24055-2016; ГОСТ 34393-2018 |
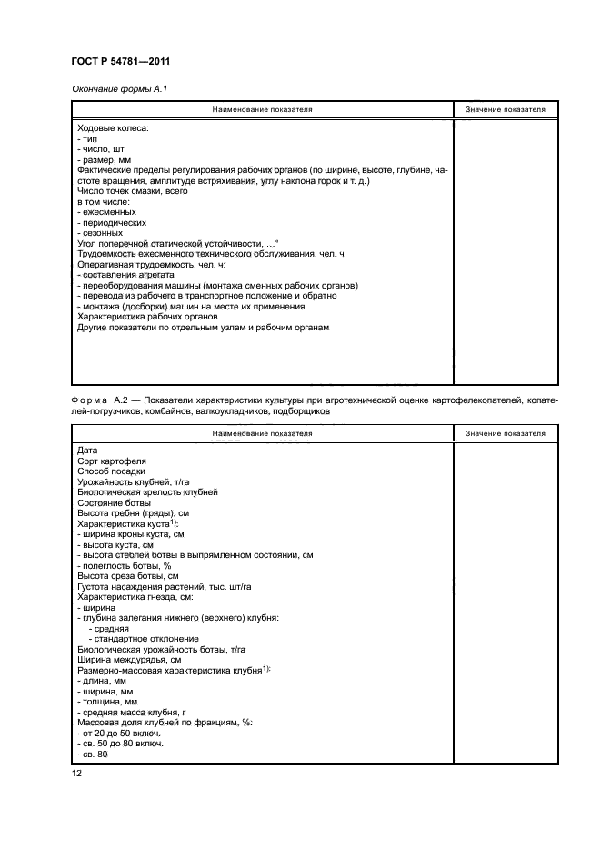
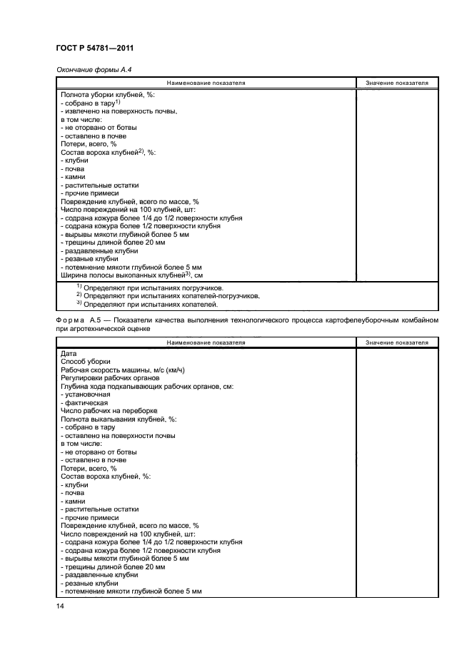
| Область применения: | Настоящий стандарт распространяется на: - комбайны картофелеуборочные; - копатели картофеля; - картофелекопатели-валкоукладчики, - картофелекопатели-погрузчики; - подборщики клубней. Стандарт устанавливает номенклатуру показателей и методы их определения при всех видах испытаний вышеуказанных типов машин |
|