Скачать ГОСТ Р 54142-2010 Менеджмент рисков. Руководство по применению организационных мер безопасности и оценки рисков. Методология построения универсального дерева событийДата актуализации: 01.06.2025 ГОСТ Р 54142-2010
Менеджмент рисков. Руководство по применению организационных мер безопасности и оценки рисков. Методология построения универсального дерева событий
| Обозначение: |  ГОСТ Р 54142-2010 |
| Статус: | действующий |
| Название рус.: | Менеджмент рисков. Руководство по применению организационных мер безопасности и оценки рисков. Методология построения универсального дерева событий | | Название англ.: | Risk management. Implementation guide for organizational security measures and risk assessment. Methodology for all-purpose event tree construction | | Дата актуализации текста: | 01.01.2021 | | Дата актуализации описания: | 01.01.2021 | | Дата издания: | 14.07.2020 | | Дата введения: | 01.09.2011 | | Область применения: | Настоящий стандарт устанавливает методологию построения универсального дерева событий для оценки рисков промышленных инцидентов с серьезными последствиями, предназначенную для характеристики уровня риска с интегрированным индексом риска, включающим независимые параметры, связанные с оценкой последующей серьезности развития сценариев, эффективностью превентивного менеджмента и оценкой подверженности (уязвимости) окружающей среды, описывая чувствительность потенциальных объектов, подпадающих под действие настоящего стандарта. Настоящий стандарт предназначен для использования на предприятиях, на которых вредные вещества присутствуют в количествах, способных нанести существенный вред здоровью людей или состоянию окружающей среды | |
                                     
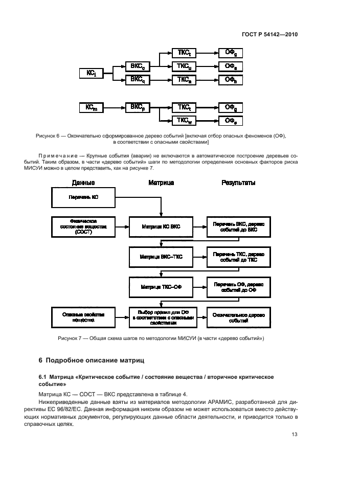
|