| Обозначение: |  ГОСТ Р 54134-2010 |
| Статус: | действующий |
| Название рус.: | Экологический менеджмент. Руководство по применению организационных мер безопасности и оценки рисков. Выбросы парниковых газов |
| Название англ.: | Environmental management. Guidance for organizational safeguards application and risk assesment. Greenhouse gas emissions |
| Дата актуализации текста: | 01.01.2021 |
| Дата актуализации описания: | 01.07.2023 |
| Дата издания: | 30.07.2019 |
| Дата введения: | 01.09.2011 |
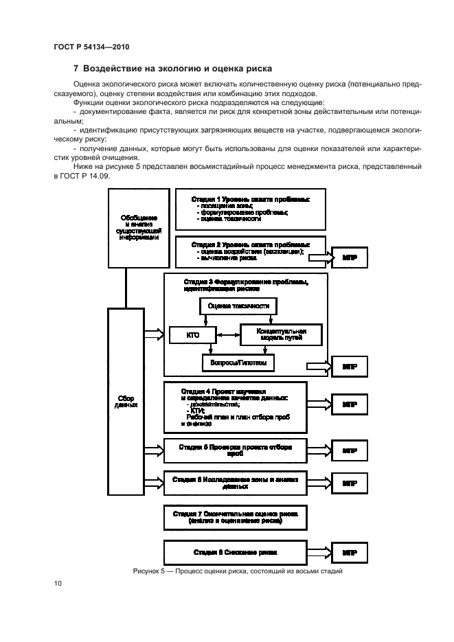
| Нормативные ссылки: | ГОСТ Р 14.09-2005; ГОСТ Р ИСО 14064-2-2007; ГОСТ Р ИСО 14064-3-2007; ГОСТ Р ИСО/МЭК 17000-2009; ГОСТ Р ИСО 19011-2003 |
| Область применения: | Настоящий стандарт устанавливает требования по оценке рисков с целью снижения выбросов и повышения удалений парниковых газов и распространяется на механизмы участия в деятельности по снижению выбросов и повышению удалений парниковых газов, проведению валидации или верификации данных |
|