| Обозначение: |  ГОСТ Р 54322-2011 |
| Статус: | действующий |
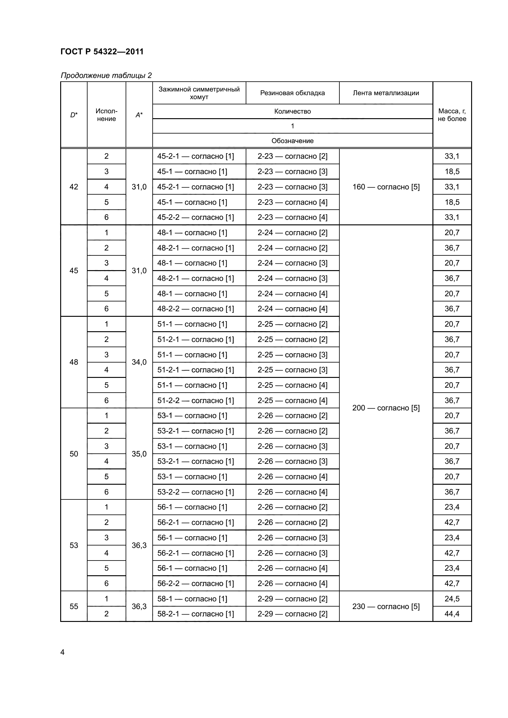
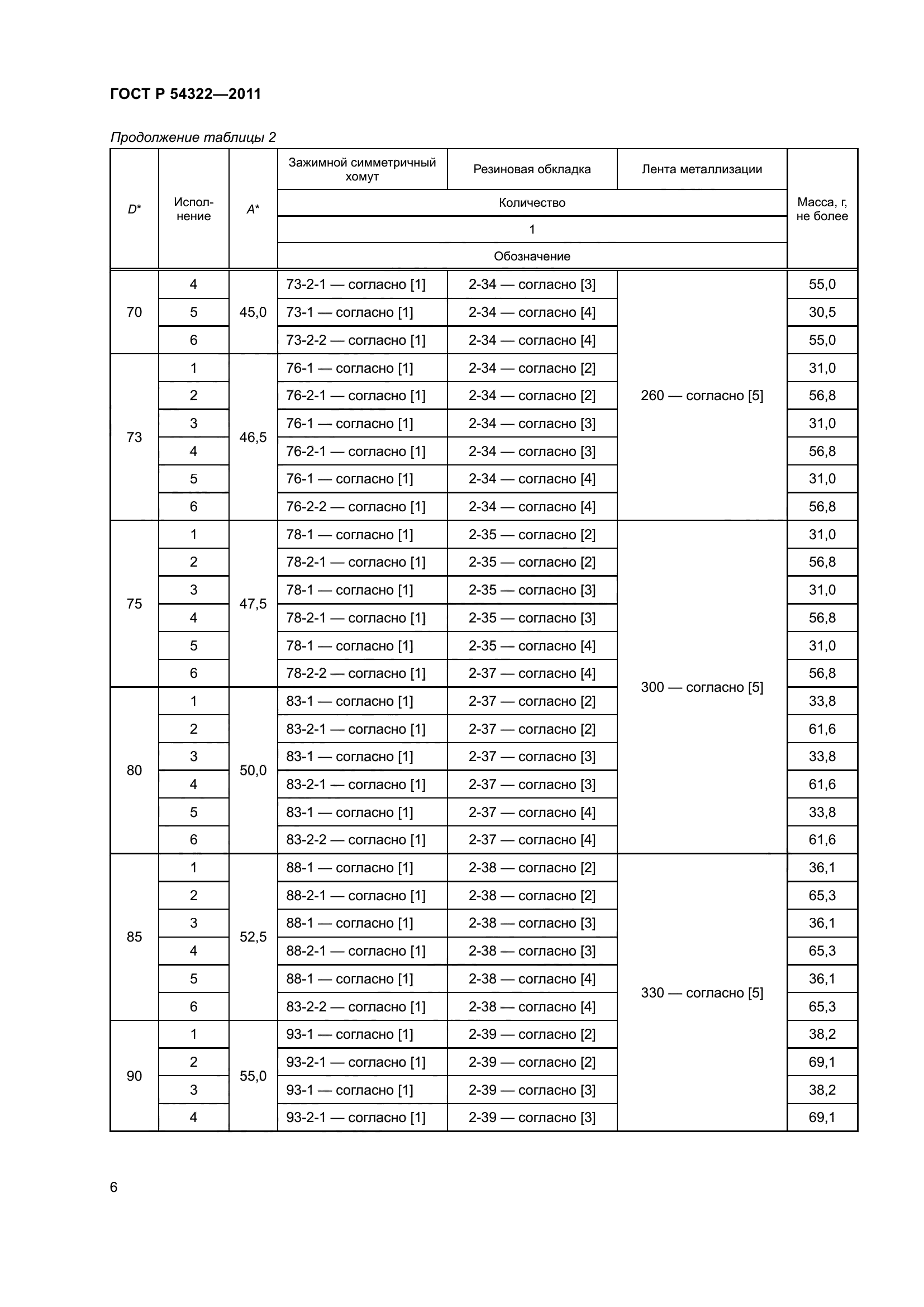
| Название рус.: | Техника авиационная. Хомуты зажимные симметричные с обкладкой и лентой металлизации. Конструкция |
| Название англ.: | Aircraft. Symmetric clamps with liner and bonding strip. Design |
| Дата актуализации текста: | 01.06.2022 |
| Дата актуализации описания: | 01.01.2021 |
| Дата издания: | 11.11.2019 |
| Дата введения: | 01.01.2012 |
| Код ОКП: | 759518 |
| Нормативные ссылки: | ГОСТ 2930-62 |
| Область применения: | Настоящий стандарт распространяется на зажимные симметричные хомуты с обкладкой и лентой металлизации, предназначенные для крепления трубопроводов и электрожгутов |
|