| Обозначение: |  ГОСТ Р 53879-2010 |
| Статус: | действующий |
| Название рус.: | Лампы со встроенными пускорегулирующими аппаратами для общего освещения. Эксплуатационные требования |
| Название англ.: | Self-ballasted lamps for general lighting services. Performance requirements |
| Дата актуализации текста: | 06.04.2015 |
| Дата актуализации описания: | 01.07.2023 |
| Дата издания: | 03.08.2011 |
| Дата введения: | 01.07.2011 |
| Код ОКП: | 346750 |
| Содержит требования: | IEC 60969(1988) |
| Нормативные ссылки: | ГОСТ Р ИСО 2859-1-2007; ГОСТ Р МЭК 60081-99; ГОСТ Р 51217.3.2-99; ГОСТ Р 51318.15-99; ГОСТ Р 51514-99; ГОСТ 17616-82; ГОСТ Р 23198-94 |
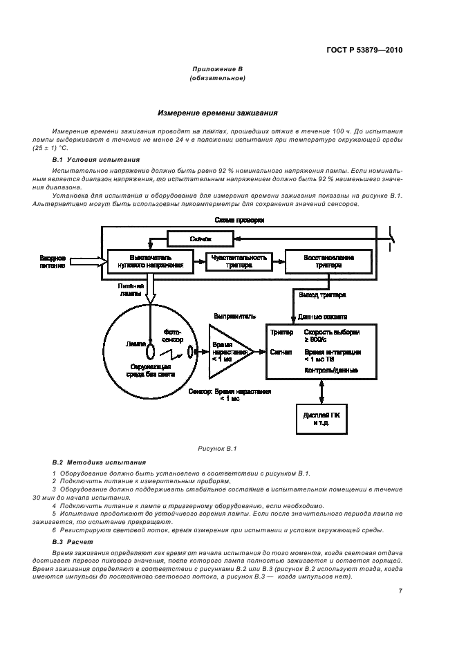
| Область применения: | Настоящий стандарт распространяется на трубчатые люминесцентные лампы со встроенным пускорегулирующим аппаратом и другие разрядные лампы с встроенными средствами для контроля зажигания и стабильной работы, предназначенные для бытового и аналогичного общего освещения, и устанавливает эксплуатационные требования, методы и условия испытаний. Настоящий стандарт применим к лампам со встроенным пускорегулирующим аппаратом всех напряжений и мощностей независимо от типа цоколя |
|