| Обозначение: |  ГОСТ Р 53977-2010 |
| Статус: | отменён |
| Название рус.: | Сжатый воздух пневматических систем железнодорожного подвижного состава. Требования к качеству |
| Название англ.: | Compressed air of railway rolling stock pneumatic systems. Requirements to quality |
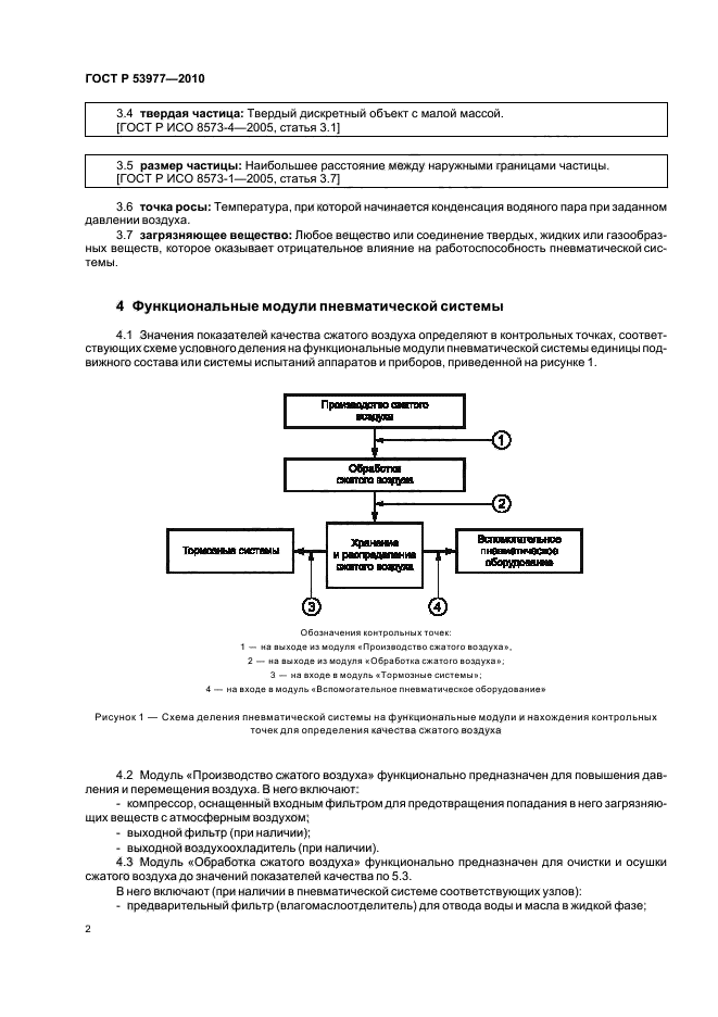
| Дата актуализации текста: | 06.04.2015 |
| Дата актуализации описания: | 01.07.2023 |
| Дата издания: | 17.03.2011 |
| Дата введения: | 01.07.2011 |
| Дата окончания срока действия: | 01.06.2014 |
| Код ОКП: | 211448 |
| На территории РФ пользоваться: | ГОСТ 32202-2013 |
| Нормативные ссылки: | ГОСТ Р ИСО 8573-2-2005; ГОСТ Р ИСО 8573-3-2006; ГОСТ Р ИСО 8573-5-2006; ГОСТ 24484-80 |
| Область применения: | Настоящий стандарт распространяется на сжатый воздух, используемый в пневматическом оборудовании и пневматических магистралях тормозных систем, систем автоматики и вспомогательных систем железнодорожного подвижного состава, а также на сжатый воздух в системах испытаний пневмомеханических и электропневматических аппаратов и приборов депо |
| Список изменений: | №0 от 31.05.2014 (рег. 08.11.2013) «Текстовое изменение; Изменено заглавие» |
|