| Обозначение: |  ГОСТ Р 53678-2009 |
| Статус: | действующий |
| Название рус.: | Нефтяная и газовая промышленность. Материалы для использования в сероводородосодержащей окружающей среде при разработке нефти и газа. Часть 2. Трещиноустойчивые углеродистые и низкоплавкие сплавы стали, использование литых металлов |
| Название англ.: | Petroleum and natural gas industries. Materials for use in H2S-containing environments in oil and gas production. Part 2. Cracking-resistant carbon and low-alloy steels and the use of cast irons |
| Дата актуализации текста: | 01.01.2021 |
| Дата актуализации описания: | 01.07.2023 |
| Дата издания: | 06.12.2019 |
| Дата введения: | 01.01.2011 |
| Код ОКП: | 361500;368000 |
| Содержит требования: | ISO 15156-2:2003 |
| Нормативные ссылки: | ГОСТ Р 53366; ГОСТ Р ИСО 3183; ГОСТ Р ИСО 6507-1; ГОСТ 31466-2012;ГОСТ ISO 3183-2015; ГОСТ 1215; ГОСТ 1412; ГОСТ 7293; ГОСТ 9012; ГОСТ 9013; ГОСТ 20700; ГОСТ 22975; ГОСТ Р 53679 |
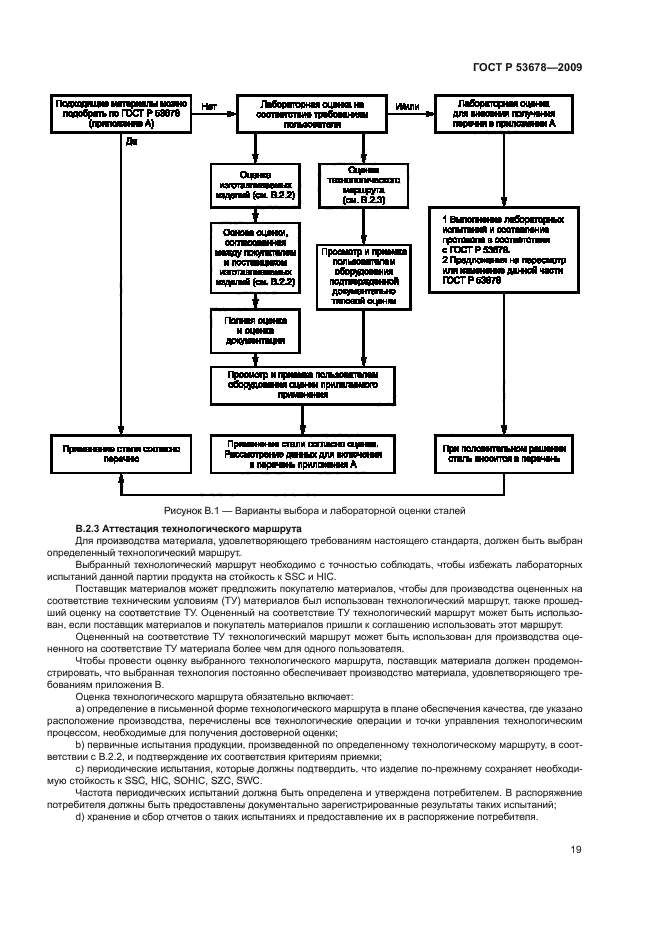
| Область применения: | Настоящий стандарт устанавливает требования и содержит рекомендации по выбору и аттестации углеродистых и низколегированных сталей, предназначенных для изготовления оборудования для добычи нефти и газа в средах, содержащих сероводород, а также для оборудования для очистки высокосернистого природного газа. Настоящий стандарт дополняет, но не заменяет требования к материалам, содержащиеся в соответствующих нормативных документах. Настоящий стандарт применяют в целях предотвращения растрескивания под действием сероводородосодержащих сред по механизмам SSC, SOHIC, SZC, HIC и SWC. Настоящий стандарт рассматривает только вопросы растрескивания. Разрушение материалов вследствие общей (с потерей массы) или локальной коррозии настоящим стандартом не рассматривается |
| Список изменений: | №0 от 14.12.2011 (рег. 14.12.2011) «» |
|