Скачать ГОСТ 6651-2009 Государственная система обеспечения единства измерений. Термопреобразователи сопротивления из платины, меди и никеля. Общие технические требования и методы испытанийДата актуализации: 01.06.2025 ГОСТ 6651-2009
Государственная система обеспечения единства измерений. Термопреобразователи сопротивления из платины, меди и никеля. Общие технические требования и методы испытаний
| Обозначение: |  ГОСТ 6651-2009 |
| Статус: | действующий |
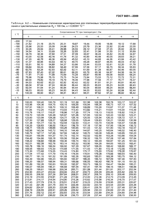
| Название рус.: | Государственная система обеспечения единства измерений. Термопреобразователи сопротивления из платины, меди и никеля. Общие технические требования и методы испытаний | | Название англ.: | State system for ensuring the uniformity of measurements. Platinum, copper, and nickel resistance resistive temperature transducers. General requirements and test methods | | Дата актуализации текста: | 01.01.2021 | | Дата актуализации описания: | 01.07.2023 | | Дата регистрации: | 10.11.2009 | | Дата издания: | 18.09.2019 | | Дата введения: | 01.01.2011 | | Взамен: | ГОСТ 6651-94 | | Нормативные ссылки: | ГОСТ Р 52931-2008; ГОСТ 8.461; ГОСТ 9.014; ГОСТ 356; ГОСТ 12997-84; ГОСТ 14192; ГОСТ 14254-2015; ГОСТ 15150; ГОСТ 27883-88 | | Область применения: | Настоящий стандарт устанавливает общие технические требования к техническим термопреобразователям сопротивления, чувствительные элементы которых изготовлены из платины, меди и никеля, и методы их испытаний. Требования к классу допуска и стабильности распространяются также на чувствительные элементы термопреобразователей сопротивления. Стандарт распространяется на термопреобразователи сопротивления, предназначенные для измерения температуры от минус 200 °С до плюс 850 °С или в части данного диапазона. Значения температуры в настоящем стандарте соответствуют Международной температурной шкале 1990 г. МТШ-90 [1]. Настоящий стандарт соответствует международному стандарту МЭК 60751 [2] в части определения зависимости сопротивления от температуры и допусков на платиновые чувствительные элементы и термопреобразователи сопротивления с температурным коэффициентом сопротивления = 0,00385 °С-1 | |
                            
|