| Обозначение: |  ГОСТ Р 52736-2007 |
| Статус: | действующий |
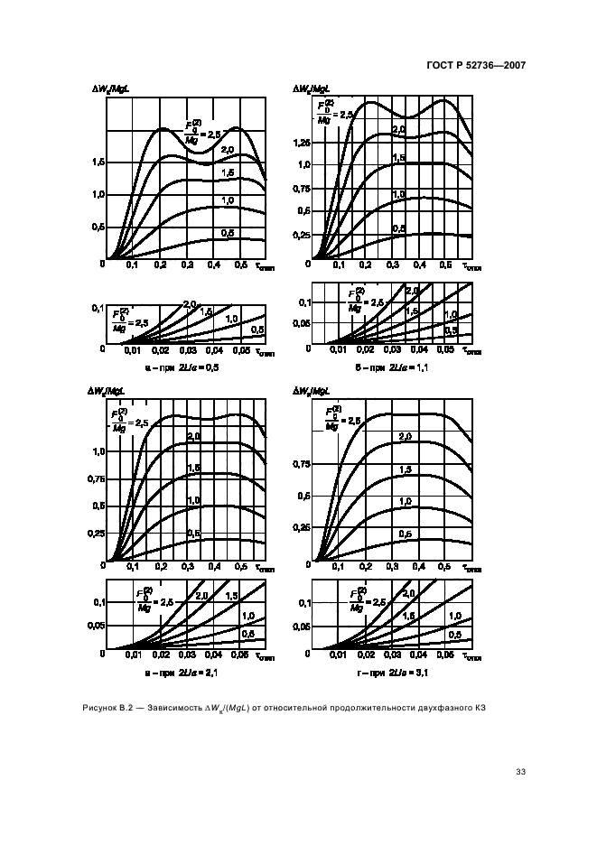
| Название рус.: | Короткие замыкания в электроустановках. Методы расчета электродинамического и термического действия тока короткого замыкания |
| Название англ.: | Short-circuits in electrical installations. Calculation methods of electrodynamics and thermal effects of short-circuit current |
| Дата актуализации текста: | 06.04.2015 |
| Дата актуализации описания: | 01.07.2023 |
| Дата издания: | 12.11.2007 |
| Дата введения: | 01.07.2008 |
| Взамен: | ГОСТ Р 50254-92 |
| Нормативные ссылки: | ГОСТ 687-78; ГОСТ 16442-80; ГОСТ 18410-73 |
| Область применения: | Настоящий стандарт распространяется на трехфазные электроустановки промышленной частоты и определяет методы расчета и проверки проводников и электрических аппаратов на электродинамическую и термическую стойкость при коротких замыканиях |
|