| Обозначение: |  ГОСТ 26002-83 |
| Статус: | действующий |
| Название рус.: | Пиломатериалы хвойных пород северной сортировки, поставляемые для экспорта. Технические условия |
| Название англ.: | Coniferous sawn timber of northern grading supplied for export. Specifications |
| Дата актуализации текста: | 06.04.2015 |
| Дата актуализации описания: | 01.07.2023 |
| Дата издания: | 01.09.2007 |
| Дата введения: | 01.01.1985 |
| Код ОКП: | 533111 |
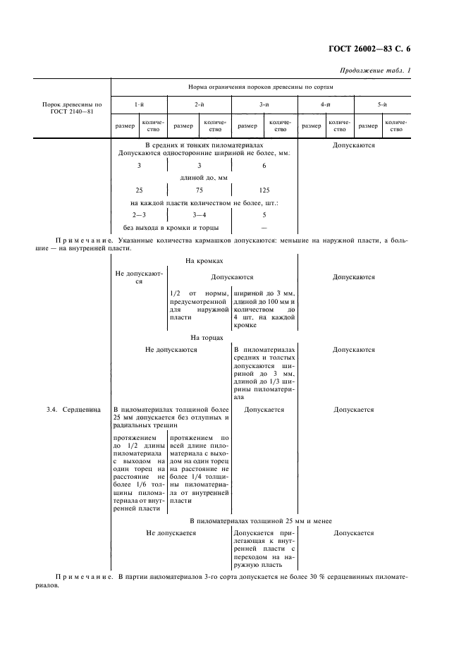
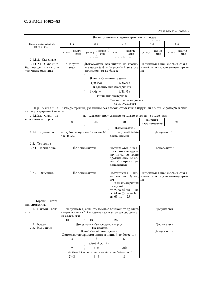
| Нормативные ссылки: | ГОСТ 2140-81; ГОСТ 3282-74; ГОСТ 3808.1-80; ГОСТ 6564-84; ГОСТ 6782.1-75; ГОСТ 10950-78; ГОСТ 16369-96; ГОСТ 19041-85 |
| Область применения: | Настоящий стандарт распространяется на обрезные пиломатериалы хвойных пород, поставляемые для экспорта через беломорские, дальневосточные, Ленинградский и Игаркский порты |
| Список изменений: | №1 от 01.01.1986 (рег. 20.12.1985) «Срок действия продлен» №2 от 01.01.1987 (рег. 05.12.1986) «Срок действия продлен» |
|