| Обозначение: |  ГОСТ 16079-2002 |
| Статус: | заменён |
| Название рус.: | Рыбы сиговые соленые. Технические условия |
| Название англ.: | Salted whitefishes. Specifications |
| Дата актуализации текста: | 06.04.2015 |
| Дата актуализации описания: | 01.07.2023 |
| Дата регистрации: | 12.04.2002 |
| Дата издания: | 01.09.2007 |
| Дата введения: | 01.01.2004 |
| Дата окончания срока действия: | 01.02.2019 |
| Код ОКП: | 926207 |
| Взамен: | ГОСТ 16079-70 |
| Заменяющий: | ГОСТ 16079-2017 |
| Нормативные ссылки: | ГОСТ 8.579-2002; ГОСТ 814-96; ГОСТ 1168-86; ГОСТ 1341-97; ГОСТ 1368-2003; ГОСТ 1760-86; ГОСТ 2874-82; ГОСТ 5717.2-2003; ГОСТ 7630-96; ГОСТ 7631-85; ГОСТ 7636-85; ГОСТ 8273-75; ГОСТ 8777-80; ГОСТ 10444.2-94; ГОСТ 10444.15-94; ГОСТ 11771-93; ГОСТ 13356-84; ГОСТ 13516-86; ГОСТ 13830-97; ГОСТ 14192-96; ГОСТ 15846-2002; ГОСТ 23285-78; ГОСТ 24597-81; ГОСТ 26663-85; ГОСТ 26668-85; ГОСТ 26669-85; ГОСТ 26670-91; ГОСТ 26927-86; ГОСТ 26929-94; ГОСТ 26930-86; ГОСТ 26931-86; ГОСТ 26932-86; ГОСТ 26933-86; ГОСТ 26934-86; ГОСТ 29185-91; ГОСТ 30178-96; ГОСТ 30518-97; ГОСТ Р 50474-93; ГОСТ 30519-97; ГОСТ Р 50480-93; ГОСТ 30538-97; ГОСТ 31339-2006 |
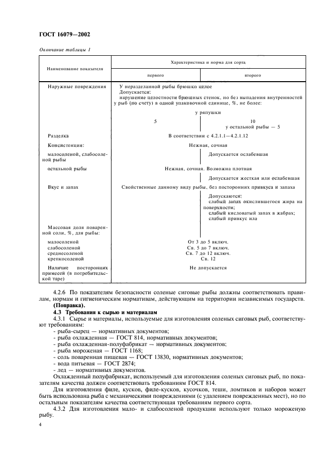
| Область применения: | Настоящий стандарт распространяется на соленую рыбу семейства сиговых следующих родов: - сиги (Coregonus); - нельмы (Stenodus) |
| Список изменений: | №0 от 28.09.2004 (рег. 28.09.2004) «Дата введения перенесена» |
| Приложение №1: | Поправка к ГОСТ 16079-2002 |
|