Скачать ГОСТ Р 50779.51-95 Статистические методы. Непрерывный приемочный контроль качества по альтернативному признакуДата актуализации: 01.06.2025 ГОСТ Р 50779.51-95
Статистические методы. Непрерывный приемочный контроль качества по альтернативному признаку
| Обозначение: |  ГОСТ Р 50779.51-95 |
| Статус: | действующий |
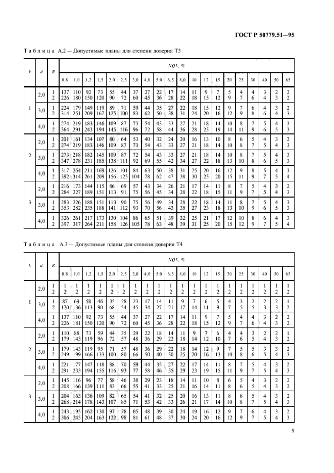
| Название рус.: | Статистические методы. Непрерывный приемочный контроль качества по альтернативному признаку | | Название англ.: | Statistical methods. Continuous acceptance sampling by attributes | | Дата актуализации текста: | 06.04.2015 | | Дата актуализации описания: | 01.07.2023 | | Дата издания: | 01.09.2005 | | Дата введения: | 01.07.1996 | | Нормативные ссылки: | ГОСТ 18321-73; ГОСТ Р ИСО 9001-2001; ГОСТ Р 50779.30-95; ГОСТ Р 50779.52-95 | | Область применения: | Стандарт распространяется на непрерывный статистический приемочный контроль по альтернативному признаку, проводимый: - поставщиком (приемочный контроль, окончательный контроль готовой продукции, приемка, сертификация продукции в форме заявления изготовителя); - потребителем (входной контроль, инспекционный контроль, приемка продукции представителем потребителя); - третьей стороной (сертификация продукции, контроль при арбитражном и судебном рассмотрении дел, касающихся качества продукции). Стандарт также распространяется на контроль продукции при организации взаимоотношений между производственными подразделениями предприятия | |
              
|