| Обозначение: |  ГОСТ 31247-2004 |
| Статус: | действующий |
| Название рус.: | Чистота промышленная. Определение загрязнения пробы жидкости с помощью автоматических счетчиков частиц |
| Название англ.: | Industrial cleanliness. Determination of fluid sample contamination using automatic particle counter |
| Дата актуализации текста: | 06.04.2015 |
| Дата актуализации описания: | 01.07.2023 |
| Дата регистрации: | 26.05.2004 |
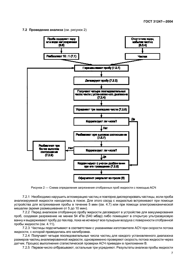
| Дата издания: | 31.03.2005 |
| Дата введения: | 01.09.2005 |
| Код ОКП: | 025000;414000 |
| Нормативные ссылки: | ISO 11500:1997; ГОСТ 17216-2001; ГОСТ 18300-87; ГОСТ 23402-78; ГОСТ 30764-2002; ГОСТ ИСО 14644-1-2002 |
| Область применения: | Настоящий стандарт устанавливает метод автоматического подсчета частиц, находящихся во взвешенном состоянии, в пробе жидкости с целью определения их размера и количественного распределения по размерам. Метод количественного анализа применяют для контроля: - количества частиц в жидкостях гидравлических систем; - качества процессов промывки узлов и гидроагрегатов; - работы вспомогательного оборудования и испытательных установок; - состояния жидкости в упаковке (таре). Метод используют для однородных (гомогенных) жидкостей и при условии отсутствия крупномасштабных оптических неоднородностей и межфазовой границы в анализируемой жидкости, создающей ложные электрические сигналы на выходе автоматического счетчика частиц |
|