| Обозначение: |  ГОСТ Р 52370-2005 |
| Статус: | действующий |
| Название рус.: | Порошки из природных алмазов. Технические условия |
| Название англ.: | Natural diamond powders. Specifications |
| Дата актуализации текста: | 01.01.2021 |
| Дата актуализации описания: | 01.07.2023 |
| Дата издания: | 19.08.2019 |
| Дата введения: | 01.01.2006 |
| Код ОКП: | 964832;397300 |
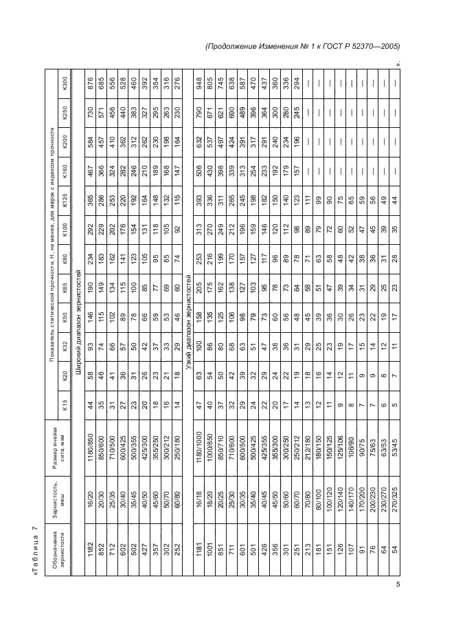
| Отменен в части: | Отменен в части зернистости, зернового состава шлифпорошков, метода определения зернового состава шлифпорошков, с 01.01.2012 пользоваться ГОСТ Р 53922-2010 |
| Нормативные ссылки: | ISO 6106:1979; ГОСТ 12.2.003; ГОСТ 12.4.028; ГОСТ 892; ГОСТ 2789; ГОСТ 5556; ГОСТ 6672; ГОСТ 6709; ГОСТ 7935; ГОСТ 9147; ГОСТ 9206; ГОСТ 9284; ГОСТ 10597; ГОСТ 11109; ГОСТ 12026; ГОСТ 13739; ГОСТ 14919; ГОСТ 18088; ГОСТ 19795; ГОСТ 19908; ГОСТ 21241; ГОСТ 22360; ГОСТ 25336; ГОСТ Р 51568; ГОСТ 32406;ГОСТ OIML R 111-1; ГОСТ Р 55878; ГОСТ Р 53228; ГОСТ 19126; ГОСТ 29298 |
| Область применения: | Настоящий стандарт распространяется на порошки из природных алмазов, предназначенные для изготовления алмазного инструмента, применяемого при камнеобработке, бурении горных пород, правке абразивных кругов, резке и обработке неметаллических материалов, цветных металлов и сплавов, а также для применения в незакрепленном состоянии в виде паст и суспензий, и устанавливает требования к порошкам. Стандарт не распространяется на алмазные порошки с покрытиями |
| Список изменений: | №0 от 09.12.2005 (рег. 09.12.2005) «Дата введения перенесена» №0 от 26.01.2007 (рег. 26.01.2007) «Дата введения перенесена» №0 от 25.10.2007 (рег. 25.10.2007) «Дата введения перенесена» №0 от 01.01.2012 (рег. 12.11.2010) «Текстовое изменение; Изменено заглавие» №0 от 15.11.2011 (рег. 15.11.2011) «Дата введения перенесена» |
| Приложение №1: | Изменение №1 к ГОСТ Р 52370-2005 |
| Приложение №2: | Поправка к ГОСТ Р 52370-2005 |
| Приложение №3: | Поправка к ГОСТ Р 52370-2005 |
| Приложение №4: | Поправка к ГОСТ Р 52370-2005 |
| Приложение №5: | Поправка к ГОСТ Р 52370-2005 |
|