| Обозначение: |  ГОСТ 28461-90 |
| Статус: | действующий |
| Название рус.: | Кожа искусственная одежная. Общие технические условия |
| Название англ.: | Artificial leather for garments. General specifications |
| Дата актуализации текста: | 01.01.2021 |
| Дата актуализации описания: | 01.07.2023 |
| Дата издания: | 01.11.2005 |
| Дата введения: | 01.07.1991 |
| Код ОКП: | 871000 |
| Взамен: | ОСТ 17-884-81;ОСТ 17-894-81 |
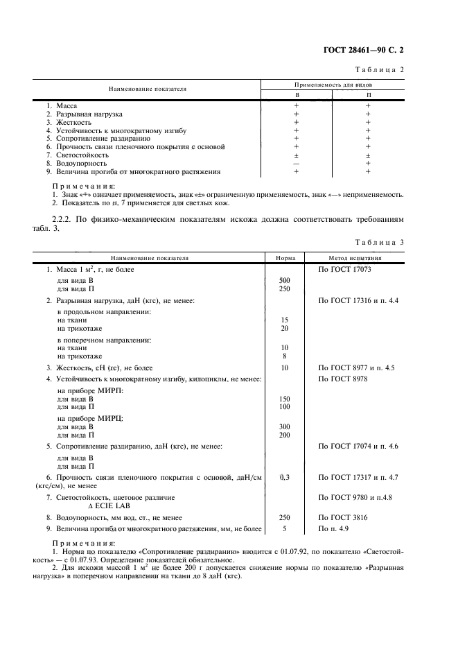
| Нормативные ссылки: | ГОСТ 12.1.005-88; ГОСТ 12.1.030-81; ГОСТ 12.3.002-75; ГОСТ 15.007-88; ГОСТ 3811-72; ГОСТ 3816-81; ГОСТ 8847-85; ГОСТ 8977-74; ГОСТ 8978-2003; ГОСТ 9780-78; ГОСТ 17073-71; ГОСТ 17074-71; ГОСТ 17316-71; ГОСТ 17317-88; ГОСТ 20840-75; ГОСТ 24957-81; ГОСТ 25451-82; ГОСТ 25652-83; ГОСТ 25934-83 |
| Область применения: | Настоящий стандарт распространяется на искусственную одежную кожу, предназначенную для изготовления верхней одежды. Стандарт не распространяется на искожу специального назначения |
| Список изменений: | №0 от 25.03.2015 (рег. 25.03.2015) «Дата введения перенесена» |
| Приложение №1: | Поправка к ГОСТ 28461-90 |
|