Скачать ГОСТ Р 53571-2009 Акустика. Шум, производимый на стрельбищах. Часть 2. Определение акустических характеристик дульной волны и звука пули путем расчетаДата актуализации: 01.06.2025 ГОСТ Р 53571-2009
Акустика. Шум, производимый на стрельбищах. Часть 2. Определение акустических характеристик дульной волны и звука пули путем расчета
| Обозначение: |  ГОСТ Р 53571-2009 |
| Статус: | действующий |
| Название рус.: | Акустика. Шум, производимый на стрельбищах. Часть 2. Определение акустических характеристик дульной волны и звука пули путем расчета | | Название англ.: | Acoustics. Noise from shooting ranges. Part 2. Estimation acoustic characteristics of muzzle blast and projectile sound by calculation | | Дата актуализации текста: | 01.01.2021 | | Дата актуализации описания: | 01.07.2023 | | Дата издания: | 09.12.2019 | | Дата введения: | 01.12.2010 | | Содержит требования: | ISO 17201-2:2006 | | Нормативные ссылки: | ГОСТ Р 53188.1; ГОСТ Р 53570; ГОСТ Р 53572; ГОСТ 31295.1 | | Область применения: | Настоящий стандарт устанавливает метод расчета акустических характеристик дульной волны, а также звука пули по параметрам огнестрельного оружия калибром менее 20 мм с зарядами, тротиловый эквивалент которых менее 50 г. Настоящий стандарт применяют, если отсутствуют данные измерений источника звука или неизвестны данные для расчета звука пули по ГОСТ Р 53572. Примером является определение дробового облака при выстреле из дробового ружья. Настоящий стандарт может применяться для интерполяции результатов измерений дульной волны. В качестве характеристики источника звука взят спектр углового распределения звуковой энергии в диапазоне частот от 12,5 Гц до 10 кГц. Его можно использовать для расчета распространения звука на местности | |
                          
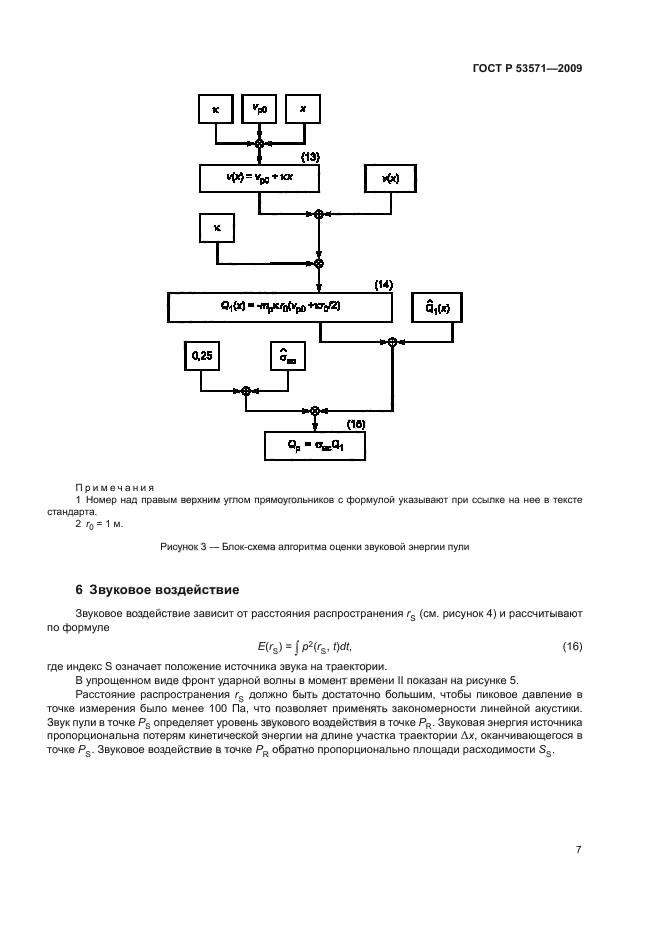
|