| Обозначение: |  ГОСТ Р 53699-2009 |
| Статус: | заменён |
| Название рус.: | Первичные упаковочные материалы для лекарственных средств. Частные требования по применению ГОСТ Р ИСО 9001-2008 с учетом правил GMP |
| Название англ.: | Primary packaging materials for medicinal products. Particular requirements for the application of ISO 9001:2008, with reference to Good Manufacturing Practice (GMP) |
| Дата актуализации текста: | 06.04.2015 |
| Дата актуализации описания: | 01.07.2023 |
| Дата издания: | 27.09.2010 |
| Дата введения: | 01.08.2010 |
| Дата окончания срока действия: | 01.07.2018 |
| Код ОКП: | 946000 |
| Заменяющий: | ГОСТ Р ИСО 15378-2017 |
| Содержит требования: | ISO 15378:2006 |
| Нормативные ссылки: | ГОСТ Р ИСО 9001-2008; ГОСТ Р ИСО 14644-1-2002; ГОСТ Р ИСО 14644-2-2001; ГОСТ Р ИСО 14644-3-2007; ГОСТ Р ИСО 14644-4-2002; ГОСТ Р ИСО 14644-5-2005 |
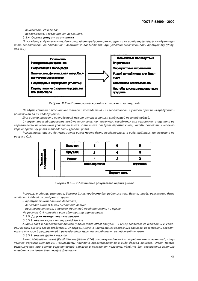
| Область применения: | Стандарт устанавливает требования к системе обеспечения качества при производстве первичных упаковочных материалов для лекарственных средств с учетом требований потребителя и нормативных документов. Словосочетание "при необходимости", используемое в настоящем стандарте, означает, что требование следует выполнять, за исключением случаев, когда ненужность этого требования подтверждена документально. Стандарт применяется при разработке, изготовлении и поставке первичных упаковочных материалов для лекарственных средств, а также для целей сертификации |
|