| Обозначение: |  ГОСТ 31411-2009 |
| Статус: | действующий |
| Название рус.: | Перренат аммония. Технические условия |
| Название англ.: | Ammonium perrenat. Specifications |
| Дата актуализации текста: | 06.04.2015 |
| Дата актуализации описания: | 01.07.2023 |
| Дата регистрации: | 26.11.2009 |
| Дата издания: | 24.03.2010 |
| Дата введения: | 01.01.2011 |
| Код ОКП: | 176622 |
| Нормативные ссылки: | ГОСТ ИСО 5725-1-2003; ГОСТ ИСО 5725-4-2003; ГОСТ ИСО 5725-6-2003; ГОСТ 8.010-90; ГОСТ 8.315-97; ГОСТ 8.395-80; ГОСТ 12.0.004-90; ГОСТ 12.1.004-91; ГОСТ 12.1.005-88; ГОСТ 12.1.007-76; ГОСТ 12.1.016-79; ГОСТ 12.1.019-79; ГОСТ 12.1.030-81; ГОСТ 12.2.007.0-75; ГОСТ 12.3.009-76; ГОСТ 12.3.019-80; ГОСТ 12.4.009-83; ГОСТ 12.4.021-75; ГОСТ 17.2.3.01-86; ГОСТ 17.2.3.02-78; ГОСТ 123-2008; ГОСТ 804-93; ГОСТ 849-2008; ГОСТ 859-2001; ГОСТ 860-75; ГОСТ 1089-82; ГОСТ 1467-93; ГОСТ 1770-74; ГОСТ 2991-85; ГОСТ 3118-77; ГОСТ 3640-94; ГОСТ 3765-78; ГОСТ 3772-74; ГОСТ 3778-98; ГОСТ 3885-73; ГОСТ 4108-72; ГОСТ 4109-79; ГОСТ 4166-76; ГОСТ 4197-74; ГОСТ 4204-77; ГОСТ 4212-76; ГОСТ 4233-77; ГОСТ 4234-77; ГОСТ 4331-78; ГОСТ 4461-77; ГОСТ 4517-87; ГОСТ 4526-75; ГОСТ 4530-76; ГОСТ 5457-75; ГОСТ 5530-2004; ГОСТ 5905-2004; ГОСТ 6008-90; ГОСТ 6259-75; ГОСТ 6709-72; ГОСТ 8136-85; ГОСТ 8677-76; ГОСТ 9147-80; ГОСТ 9428-73; ГОСТ 9557-87; ГОСТ 10157-79; ГОСТ 10928-90; ГОСТ 11069-2001; ГОСТ 11125-84; ГОСТ 13610-79; ГОСТ 14192-96; ГОСТ 14261-77; ГОСТ 14262-78; ГОСТ 14919-83; ГОСТ 16539-79; ГОСТ 17746-96; ГОСТ 17811-78; ГОСТ 18300-87; ГОСТ 18573-86; ГОСТ 19433-88; ГОСТ 19658-81; ГОСТ 20448-90; ГОСТ 20490-75; ГОСТ 21650-76; ГОСТ 22861-93; ГОСТ 23463-79; ГОСТ 24104-2001; ГОСТ 24363-80; ГОСТ 24597-81; ГОСТ 25336-82; ГОСТ 26663-85; ГОСТ 29169-91; ГОСТ 29227-91; ГОСТ 29228-91; ГОСТ 29229-91; ГОСТ 29251-91; ГОСТ 29252-91; ГОСТ 29253-91 |
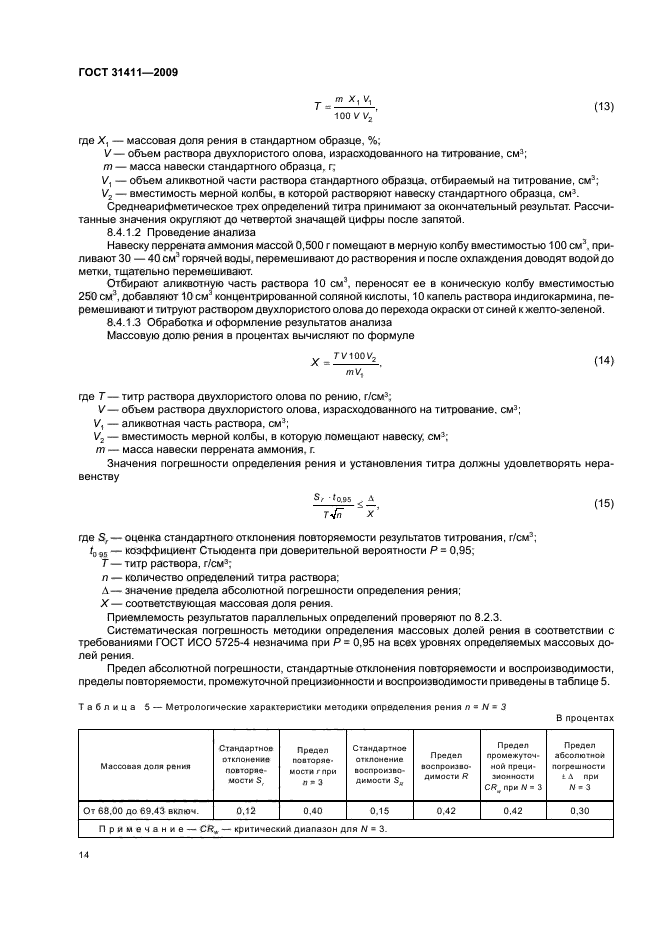
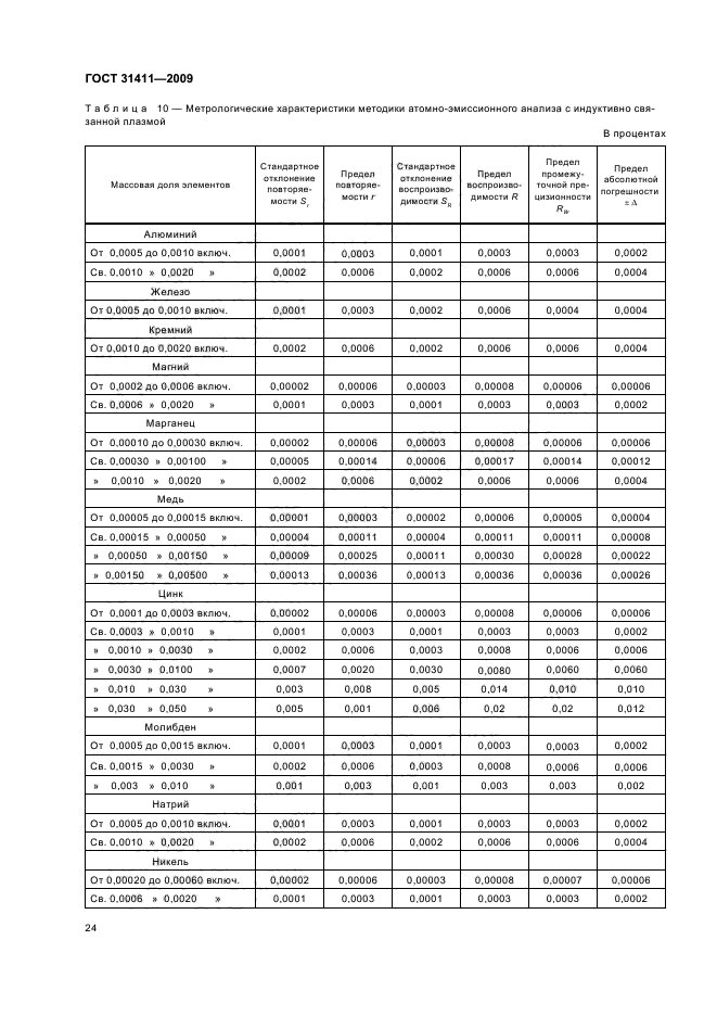
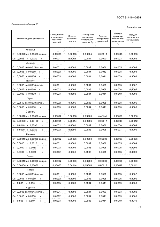
| Область применения: | Настоящий стандарт распространяется на перренат аммония (аммоний рениевокислый), предназначенный для получения металлического рения. Молекулярная масса (по международным атомным массам 1971 г.) - 268,24 |
| Список изменений: | №0 от 23.05.2010 (рег. 23.05.2010) «Дата введения перенесена» №0 от 22.07.2010 (рег. 22.07.2010) «Дата введения перенесена» |
| Приложение №1: | Поправка к ГОСТ 31411-2009 |
| Приложение №2: | Поправка к ГОСТ 31411-2009 |
|