| Обозначение: |  ГОСТ Р 53440-2009 |
| Статус: | действующий |
| Название рус.: | Основные нормы взаимозаменяемости. Характеристики изделий геометрические. Нормальные конусности и углы конусов |
| Название англ.: | Basic norms of interchangeability. Geometrical product specifications. Standard rates of taper and cone angles |
| Дата актуализации текста: | 01.01.2021 |
| Дата актуализации описания: | 01.07.2023 |
| Дата издания: | 04.12.2019 |
| Дата введения: | 01.01.2012 |
| Содержит требования: | ISO 1119:1998 |
| Нормативные ссылки: | ГОСТ Р 50017; ГОСТ Р 50018; ГОСТ Р 50042; ГОСТ Р 50213; ГОСТ Р 50663; ГОСТ 2.320; ГОСТ 8032; ГОСТ 15945; ГОСТ 22967; ГОСТ 24264; ГОСТ 25557;ГОСТ31057-2012 |
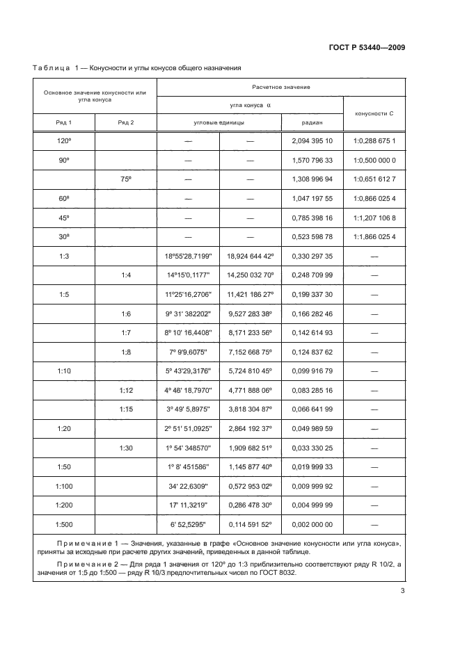
| Область применения: | Настоящий стандарт распространяется на применяемые в машиностроении конусности и углы конусов гладких конических элементов деталей и устанавливает ряды нормальных конусностей от 1:0,289 до 1:500 и углов конусов от 0,114 град. до 120 град. Настоящий стандарт не распространяется на конусности и углы конусов, связанные расчетными зависимостями с другими принятыми размерами, негладкие конические элементы деталей (призматические элементы, конические резьбы, конические зубчатые передачи и т.д). Правила указания размеров и допусков конических поверхностей на чертежах согласно ГОСТ 2.320 |
|