| Обозначение: |  ГОСТ Р 53228-2008 |
| Статус: | отменён |
| Название рус.: | Весы неавтоматического действия. Часть 1. Метрологические и технические требования. Испытания |
| Название англ.: | Non-automatic weighing instruments. Part 1. Metrological and technical requirements. Tests |
| Дата актуализации текста: | 01.01.2021 |
| Дата актуализации описания: | 01.01.2026 |
| Дата издания: | 05.10.2010 |
| Дата введения: | 01.01.2010 |
| Дата окончания срока действия: | 01.12.2025 |
| Содержит требования: | OIML R 76-1:2006 |
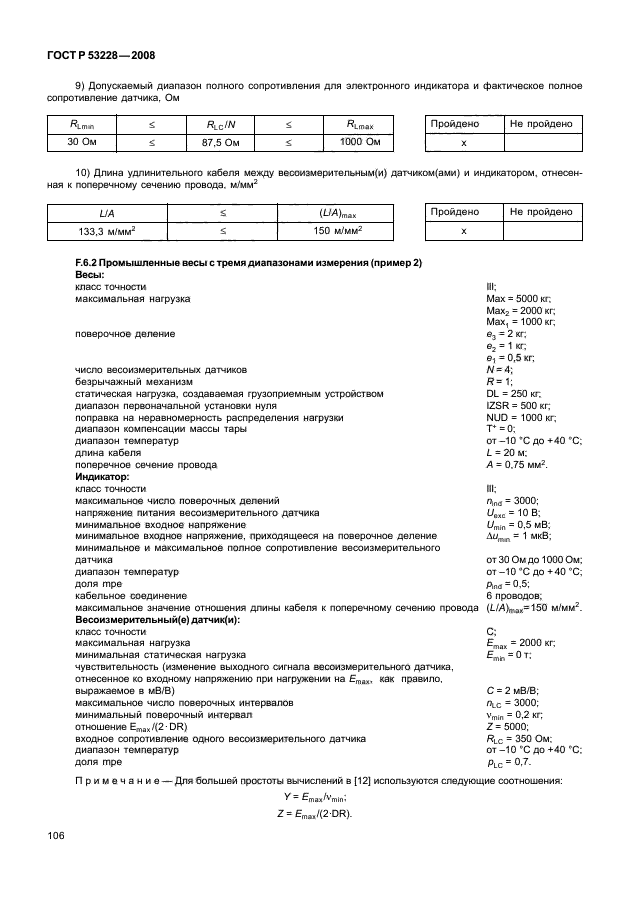
| Область применения: | Настоящий стандарт распространяется на весы неавтоматического действия и устанавливает метрологические и технические требования к весам, а также испытательные процедуры для проверки установленных требований |
| Список изменений: | №1 от 01.01.2014 (рег. 24.04.2012) «Срок действия продлен» |
| Приложение №1: | Изменение №1 к ГОСТ Р 53228-2008 |
|