| Обозначение: |  ГОСТ Р 53214-2008 |
| Статус: | действующий |
| Название рус.: | Продукты пищевые. Методы анализа для обнаружения генетически модифицированных организмов и полученных из них продуктов. Общие требования и определения |
| Название англ.: | Foodstuffs. Methods of analysis for the detection of genetically modified organisms and derived products. General requirements and definitions |
| Дата актуализации текста: | 01.01.2021 |
| Дата актуализации описания: | 01.07.2023 |
| Дата издания: | 29.06.2020 |
| Дата введения: | 01.01.2010 |
| Содержит требования: | ISO 24276:2006 |
| Нормативные ссылки: | ГОСТ Р ИСО 5725-1; ГОСТ Р ИСО 5725-2; ГОСТ Р ИСО/МЭК 17025; ГОСТ Р 50779.10; ГОСТ Р 52173; ГОСТ Р 52174 |
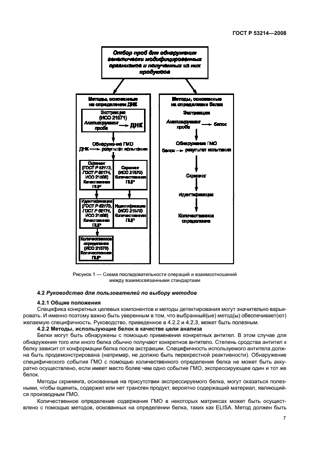
| Область применения: | Настоящий стандарт содержит общие термины и определения, требования и руководящие указания для организации лабораторий, требования к методу подтверждения достоверности, описание методов и протоколов испытаний. Настоящий стандарт распространяется на пищевые продукты, а также семена, корма и растительные образцы, отобранные из окружающей среды |
|