| Обозначение: |  ГОСТ Р 53195.2-2008 |
| Статус: | действующий |
| Название рус.: | Безопасность функциональная связанных с безопасностью зданий и сооружений систем. Часть 2. Общие требования |
| Название англ.: | Functional safety of building/erection safety-related systems. Part 2. General requirements |
| Дата актуализации текста: | 06.04.2015 |
| Дата актуализации описания: | 01.07.2023 |
| Дата издания: | 06.05.2009 |
| Дата введения: | 01.01.2010 |
| Код ОКП: | 437000;437100;437200;437280;703000 |
| Нормативные ссылки: | ISO/IEC Guide 51:1999;IEC 61508-1(1998);IEC 61508-4(1998); ГОСТ Р 21.1703-2000; ГОСТ Р 53195.1-2008; ГОСТ Р ИСО 9000-2008; ГОСТ Р ИСО 9001-2008; ГОСТ Р ИСО 9004-2001; ГОСТ 2.102-68; ГОСТ 2.610-2006; ГОСТ 21.101-97; ГОСТ 21.501-93 |
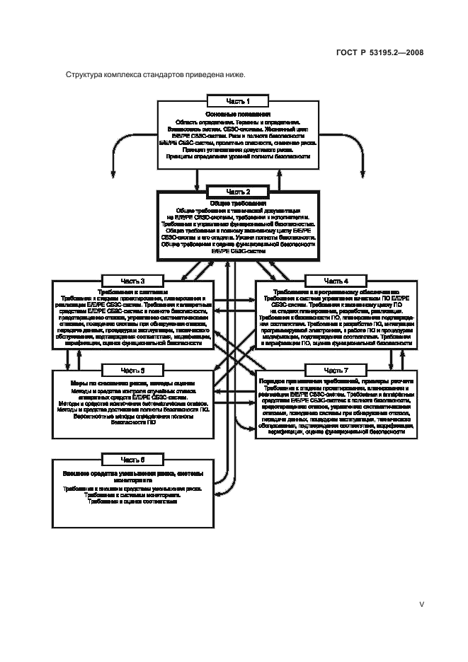
| Область применения: | Настоящий стандарт распространяется на электрические, электронные, программируемые электронные (Е/Е/РЕ) СБЗС-системы, устанавливаемые или установленные во вновь возводимых или реконструируемых зданиях и сооружениях. Настоящий стандарт устанавливает общие требования к документации, к управлению функциональной безопасностью Е/Е/РЕ СБЗС-систем, к функциональной безопасности этих систем на всех стадиях их жизненного цикла, а также к действиям на этих стадиях, обеспечивающим функциональную безопасность. Настоящий стандарт не распространяется на связанные с безопасностью зданий и сооружений системы, в которых Е/Е/РЕ СБЗС-система является одиночной системой, способной осуществить необходимое снижение риска, и требуемая полнота безопасности такой системы ниже, чем определено уровнем полноты безопасности SIL 1 |
|