| Обозначение: |  ГОСТ 15763-2005 |
| Статус: | действующий |
| Название рус.: | Соединения трубопроводов резьбовые и фланцевые на PN (Py) до 63 МПа (до около 630 кгс/см кв.). Общие технические условия |
| Название англ.: | Threaded and flange pipe connections for PN to 63 MPa (to 630 kgf/sq sm). General specifications |
| Дата актуализации текста: | 06.04.2015 |
| Дата актуализации описания: | 01.07.2023 |
| Дата регистрации: | 21.09.2005 |
| Дата издания: | 27.10.2008 |
| Дата введения: | 01.01.2009 |
| Код ОКП: | 419300 |
| Взамен: | ГОСТ 15763-91 |
| Нормативные ссылки: | ISO 19879; ГОСТ 2.601-2006; ГОСТ 9.301-86; ГОСТ 9.302-88; ГОСТ 9.303-84; ГОСТ 9.308-85; ГОСТ 356-80; ГОСТ 380-2005; ГОСТ 617-90; ГОСТ 859-2001; ГОСТ 1050-88; ГОСТ 1414-75; ГОСТ 1759.4-87; ГОСТ 2622-75; ГОСТ 2789-73; ГОСТ 4543-71; ГОСТ 4784-97; ГОСТ 5632-72; ГОСТ 6111-52; ГОСТ 6357-81; ГОСТ 6424-73; ГОСТ 7505-89; ГОСТ 8734-75; ГОСТ 9378-93; ГОСТ 9399-81; ГОСТ 9567-75; ГОСТ 9833-73; ГОСТ 9941-81; ГОСТ 10549-80; ГОСТ 10702-78; ГОСТ 12815-80; ГОСТ 12816-80; ГОСТ 12817-80; ГОСТ 12818-80; ГОСТ 12819-80; ГОСТ 12820-80; ГОСТ 12821-80; ГОСТ 12822-80; ГОСТ 14192-96; ГОСТ 15527-2004; ГОСТ 16093-2004; ГОСТ 18160-72; ГОСТ 18242-72; ГОСТ 18321-73; ГОСТ 18475-82; ГОСТ 18829-73; ГОСТ 20403-75; ГОСТ 20799-88; ГОСТ 21971-76; ГОСТ 21972-76; ГОСТ 21973-76; ГОСТ 21974-76; ГОСТ 22512-77; ГОСТ 22525-77; ГОСТ 22526-77; ГОСТ 23353-78; ГОСТ 23354-78; ГОСТ 23355-78; ГОСТ 23358-87; ГОСТ 23677-79; ГОСТ 24072-80; ГОСТ 24073-80; ГОСТ 24074-80; ГОСТ 24075-80; ГОСТ 24078-80; ГОСТ 24079-80; ГОСТ 24080-80; ГОСТ 24086-80; ГОСТ 24087-80; ГОСТ 24090-80; ГОСТ 24091-80; ГОСТ 24485-80; ГОСТ 24486-80; ГОСТ 24487-80; ГОСТ 24488-80; ГОСТ 24489-80; ГОСТ 24492-80; ГОСТ 24493-80; ГОСТ 24499-80; ГОСТ 24502-80; ГОСТ 24503-80; ГОСТ 24705-2004; ГОСТ 25065-90; ГОСТ 25229-82; ГОСТ 28016-89; ГОСТ 28549.5-90; ГОСТ 28918-91; ГОСТ 28941.1-91; ГОСТ 28941.2-91; ГОСТ 28941.3-91; ГОСТ 28941.4-91; ГОСТ 28941.5-91; ГОСТ 28941.6-91; ГОСТ 28941.7-91; ГОСТ 28941.8-91; ГОСТ 28941.9-91; ГОСТ 28941.10-91; ГОСТ 28941.11-91; ГОСТ 28941.12-91; ГОСТ 28941.13-91; ГОСТ 28941.14-91; ГОСТ 28941.15-91; ГОСТ 28941.16-91; ГОСТ 28941.17-91; ГОСТ 28941.18-91; ГОСТ 28941.19-91; ГОСТ 28941.20-91; ГОСТ 28941.21-91; ГОСТ 28941.22-91; ГОСТ 28941.23-91; ГОСТ 28941.24-91; ГОСТ 28941.25-91; ГОСТ 28941.26-91; ГОСТ 28941.27-91; ГОСТ 28941.28-91 |
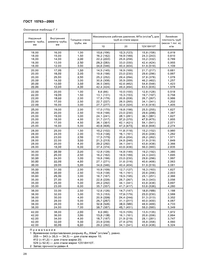
| Область применения: | Настоящий стандарт распространяется на металлические резьбовые и фланцевые с приварным ниппелем соединения трубопроводов общемашиностроительного применения для гидравлических и пневматических систем и детали данных соединений трубопроводов, работающие в условиях неагрессивных сред при температуре окружающей и рабочей среды от минус 50 град. С до плюс 120 град. С и номинальном (условном) давлении до 63 МПа (до около 630 кгс/см кв.). Стандарт не распространяется на фланцевые соединения по ГОСТ 9399, ГОСТ 12815 - ГОСТ 12822, ГОСТ 22512 |
| Список изменений: | №0 от 27.11.2009 (рег. 27.11.2009) «Дата введения перенесена» |
|