| Обозначение: |  ГОСТ Р 50030.1-2007 |
| Статус: | отменён |
| Название рус.: | Аппаратура распределения и управления низковольтная. Часть 1. Общие требования |
| Название англ.: | Low-voltage switchgear and controlgear. Part 1. General rules |
| Дата актуализации текста: | 06.04.2015 |
| Дата актуализации описания: | 01.07.2023 |
| Дата издания: | 04.07.2008 |
| Дата введения: | 01.07.2008 |
| Дата окончания срока действия: | 01.01.2014 |
| Взамен: | ГОСТ Р 50030.1-2000 |
| Содержит требования: | IEC 60947-1(2004) |
| На территории РФ пользоваться: | ГОСТ 30011.1-2012 |
| Нормативные ссылки: | ГОСТ Р 15.201-2000; ГОСТ Р ИСО 14040-99; ГОСТ Р 50030.2-99; ГОСТ Р 50030.3-99; ГОСТ Р 50030.4.1-2002; ГОСТ Р 50030.5.1-2005; ГОСТ Р 50030.5.2-99; ГОСТ Р 50030.5.5-2000; ГОСТ Р 50030.6.1-99; ГОСТ Р 50030.6.2-2000; ГОСТ Р 50030.7.1-2000; ГОСТ Р 50030.7.2-2000; ГОСТ Р 50339.0-2003; ГОСТ Р 50339.1-92; ГОСТ Р 50648-94; ГОСТ Р 51317.3.3-99; ГОСТ Р 51317.4.2-99; ГОСТ Р 51317.4.3-2006; ГОСТ Р 51317.4.4-2007; ГОСТ Р 51317.4.5-99; ГОСТ Р 51317.4.6-99; ГОСТ Р 51318.11-99; ГОСТ Р 51321.1-2007; ГОСТ Р 51362-99; ГОСТ Р 51731-2001; ГОСТ Р МЭК 60073-2000; ГОСТ Р МЭК 60447-2000; ГОСТ Р МЭК 61140-2000; ГОСТ 2.767-89; ГОСТ 12.1.004-91; ГОСТ 12.2.007.0-75; ГОСТ 12.2.007.6-75; ГОСТ 11478-88; ГОСТ 14254-96; ГОСТ 15150-69; ГОСТ 15543.1-89; ГОСТ 16504-81; ГОСТ 16962.1-89; ГОСТ 16962.2-90; ГОСТ 17516.1-90; ГОСТ 18620-86; ГОСТ 23216-78; ГОСТ 27473-87; ГОСТ 27484-87; ГОСТ 28201-89; ГОСТ 29322-92 |
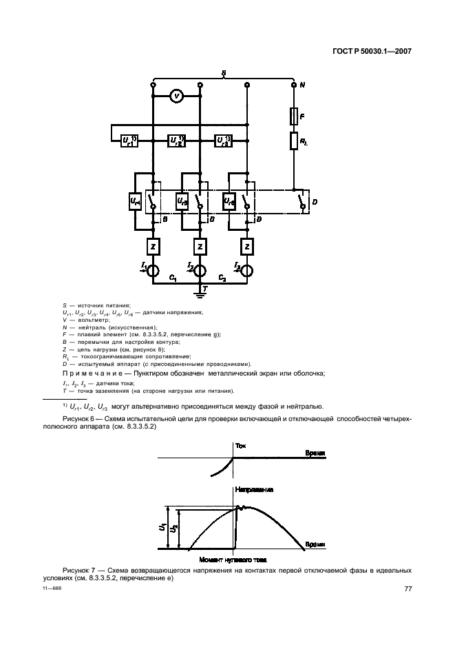
| Область применения: | Настоящий стандарт распространяется на низковольтные аппараты распределения и управления, предназначенные для эксплуатации в электрических цепях номинальным напряжением до 1000 В переменного тока или до 1500 В постоянного тока. Требования настоящего стандарта распространяются на аппараты конкретного вида (типа) при наличии в стандартах на эти аппараты соответствующих ссылок. Настоящий стандарт не распространяется на низковольтные комплектные устройства распределения и управления, которые подпадают под действие ГОСТ Р 51321-1 |
| Список изменений: | №0 от 01.01.2014 (рег. 15.11.2012) «Текстовое изменение; Изменено заглавие» |
|