Скачать ГОСТ Р 41.83-99 Единообразные предписания, касающиеся официального утверждения транспортных средств в отношении выбросов загрязняющих веществ в зависимости от топлива, необходимого для двигателейДата актуализации: 01.06.2025 ГОСТ Р 41.83-99
Единообразные предписания, касающиеся официального утверждения транспортных средств в отношении выбросов загрязняющих веществ в зависимости от топлива, необходимого для двигателей
| Обозначение: |  ГОСТ Р 41.83-99 |
| Статус: | заменён |
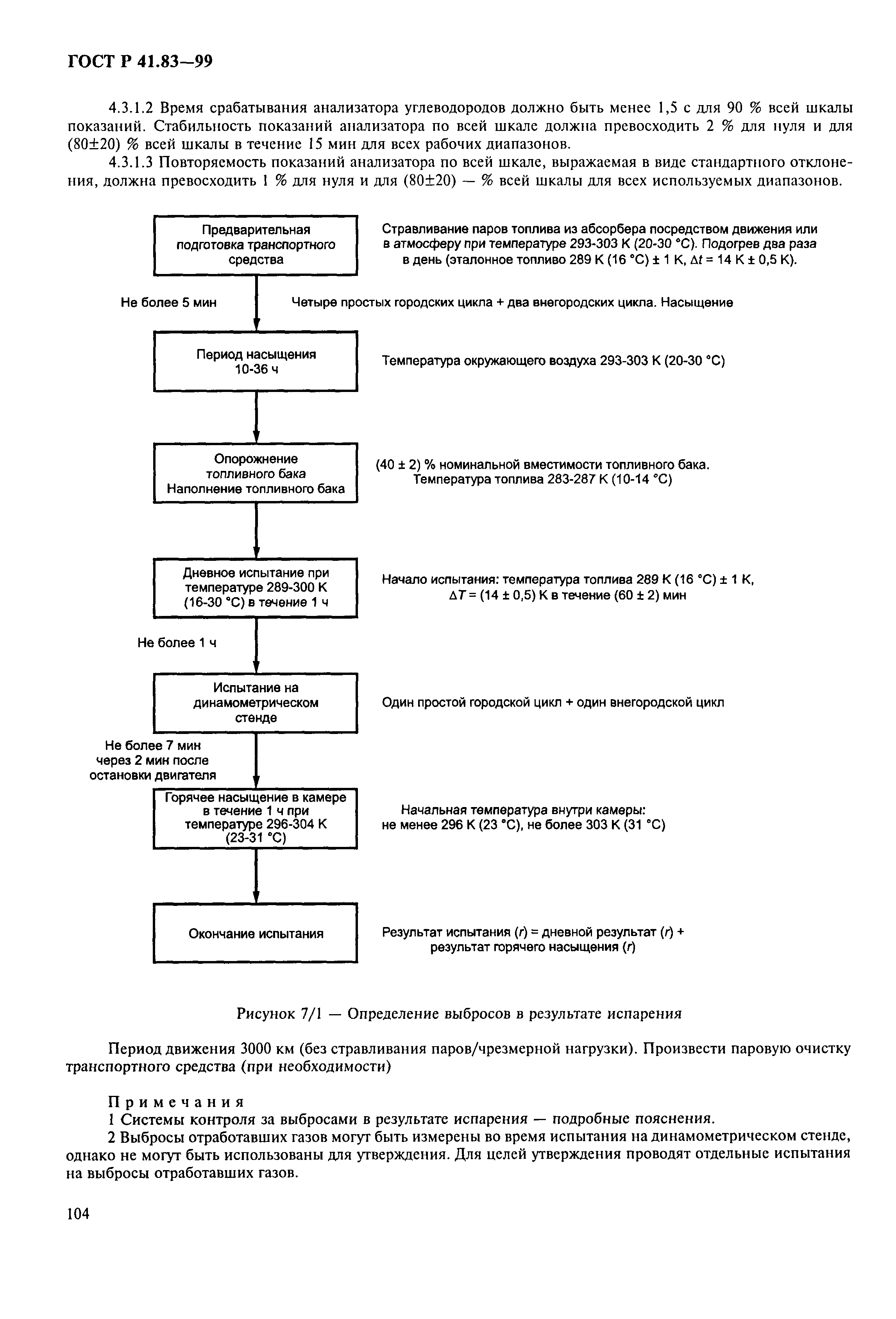
| Название рус.: | Единообразные предписания, касающиеся официального утверждения транспортных средств в отношении выбросов загрязняющих веществ в зависимости от топлива, необходимого для двигателей | | Название англ.: | Uniform provisions concerning the approval of vehicles with regard to the emission of pollutants according to engine fuel requirements | | Дата актуализации текста: | 06.04.2015 | | Дата актуализации описания: | 01.01.2021 | | Дата издания: | 22.02.2001 | | Дата введения: | 01.07.2000 | | Дата окончания срока действия: | 01.01.2005 | | Код ОКП: | 451000 | | Заменяющий: | ГОСТ Р 41.83-2004 | | Содержит требования: | Правила EEC UN № 83 | | Область применения: | Настоящий стандарт распространяется на выбросы к отработавших газам и выбросам картерных газов всеми транспортными средствами, оснащенными двигателями с принудительным зажиганием, работающим на этиловым бензине, природном газе | |
                                                                                                                                   
|