| Обозначение: |  ГОСТ 28681.4-95 |
| Статус: | не действует в РФ |
| Название рус.: | Туристско-экскурсионное обслуживание. Классификация гостиниц |
| Название англ.: | Tourist and excursion service. Classification for hotels |
| Дата актуализации текста: | 06.04.2015 |
| Дата актуализации описания: | 01.07.2023 |
| Дата регистрации: | 26.04.1995 |
| Дата издания: | 10.08.2004 |
| Дата введения: | 01.07.1996 |
| Дата окончания срока действия: | 01.08.2006 |
| Код ОКП: | 010131 |
| Аутентичен стандартам: | ГОСТ Р 50645-94 |
| На территории РФ пользоваться: | Действует «Система классификации гостиниц и других средств размещения»;утвержденная Приказом Федерального агентства по туризму от 21.07.2005 № 86 |
| Нормативные ссылки: | ГОСТ 28681.0-90;СНиП 2.08.02-89;СанПиН 42-123-5774-91;ВСН 62-91 |
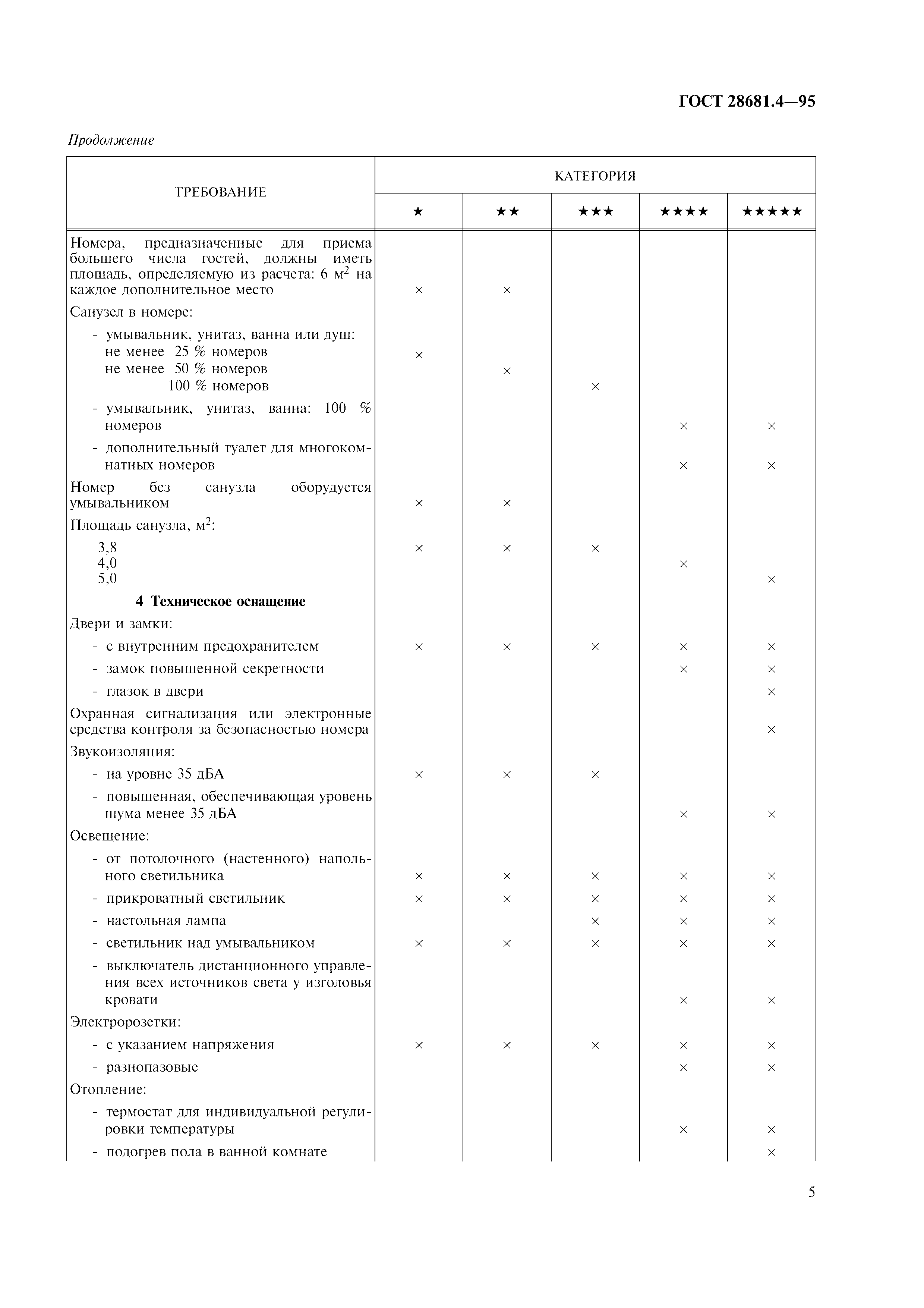
| Область применения: | Настоящий стандарт устанавливает классификацию гостиниц (мотелей) различных организационно-правовых форм вместимостью не менее 10 номеров. Классификация не распространяется на дома и помещения, сдаваемые внаем для проживания |
| Список изменений: | №0 от 31.07.2006 (рег. 04.07.2006) «Поправка к изменению» |
|