| Обозначение: |  ГОСТ 26236-84 |
| Статус: | заменён |
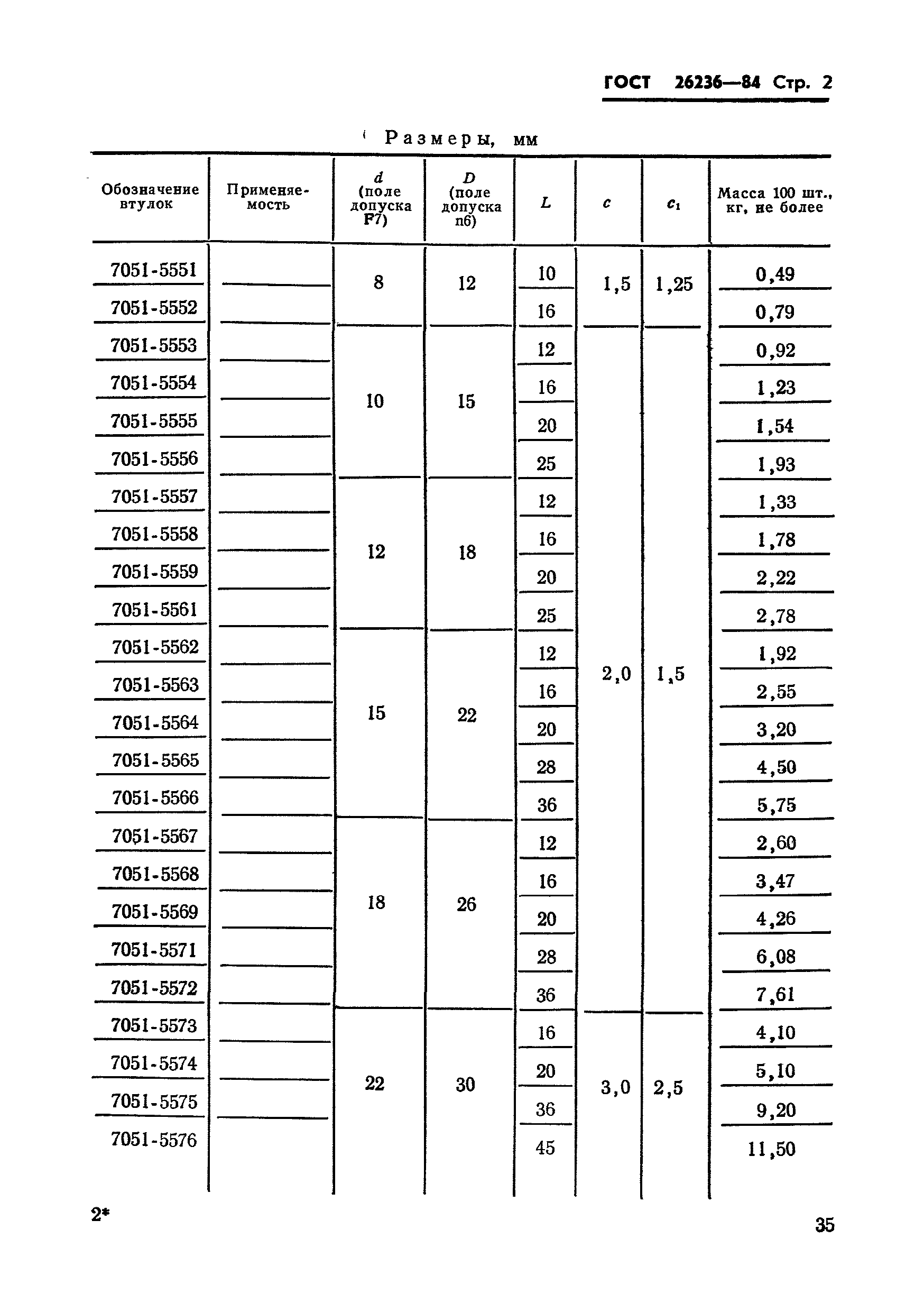
| Название рус.: | Втулки промежуточные нормальной и повышенной точности. Конструкция и размеры |
| Название англ.: | Normal and high precision intermediate bushes. Design and dimensions |
| Дата актуализации текста: | 06.04.2015 |
| Дата актуализации описания: | 01.07.2023 |
| Дата введения: | 01.01.1986 |
| Дата окончания срока действия: | 01.07.1996 |
| Код ОКП: | 396190 |
| Заменяющий: | ГОСТ 30086-93 |
|