| Обозначение: |  ГОСТ 25670-83 |
| Статус: | заменён |
| Название рус.: | Основные нормы взаимозаменяемости. Предельные отклонения размеров с неуказанными допусками |
| Название англ.: | Basic norms of interchangeability. Limit deviations of dimensions without tolerance indication |
| Дата актуализации текста: | 06.04.2015 |
| Дата актуализации описания: | 01.07.2023 |
| Дата издания: | 01.12.2002 |
| Дата введения: | 01.07.1984 |
| Дата окончания срока действия: | 01.01.2004 |
| Заменяющий: | ГОСТ 30893.1-2002 |
| Содержит требования: | СТ СЭВ 302-76 |
| Нормативные ссылки: | ГОСТ 25346-82; ГОСТ 25348-82; ГОСТ 25347-82; ГОСТ 8909-81; ГОСТ 25069-81 |
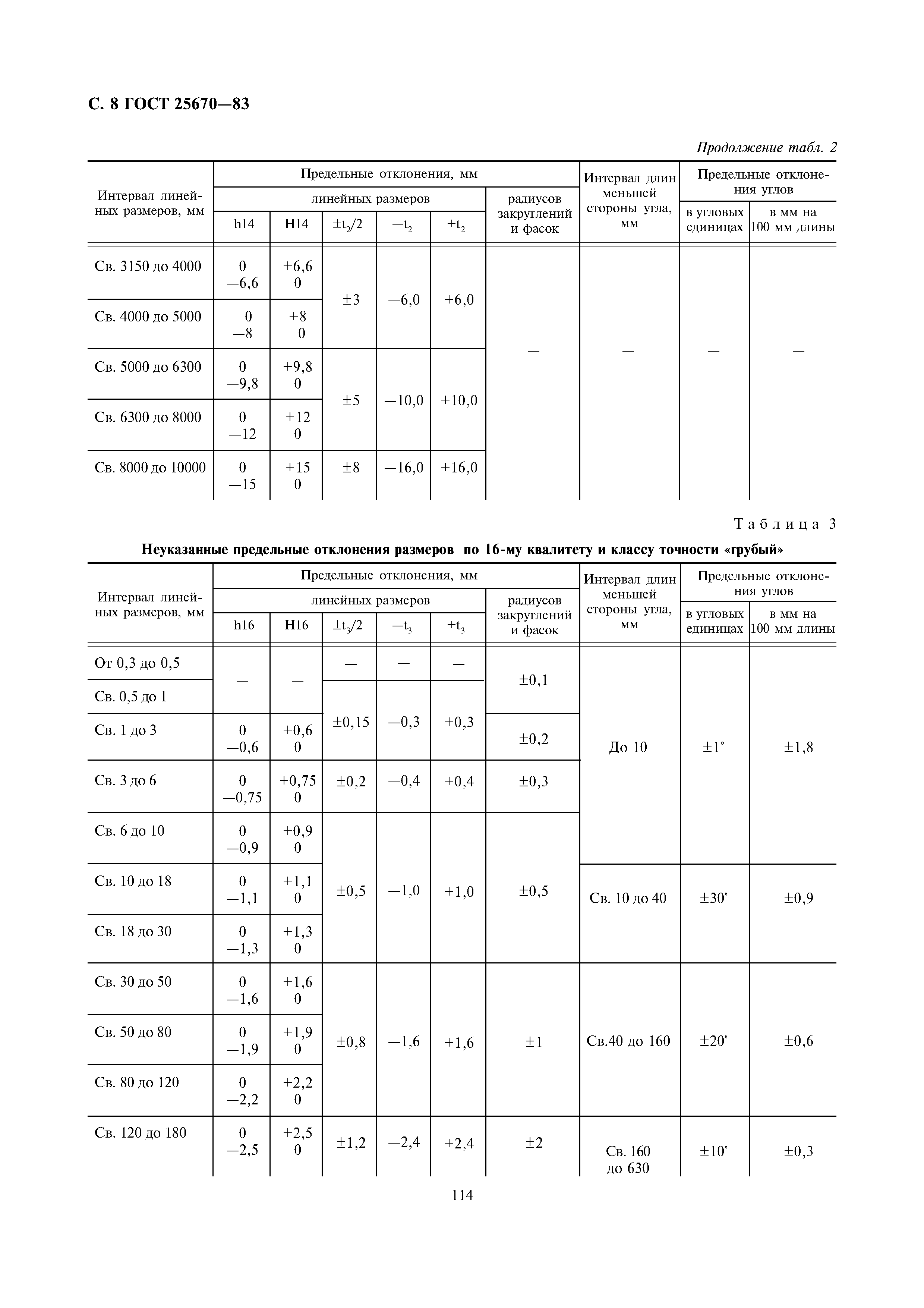
| Область применения: | Настоящий стандарт распространяется на гладкие элементы металлических деталей машин и приборов, обработанные резанием, и устанавливает предельные отклонения размеров, если эти отклонения не указываются непосредственно у размеров. а оговариваются общей записью |
|