| Обозначение: |  ГОСТ 25290-82 |
| Статус: | не действует в РФ |
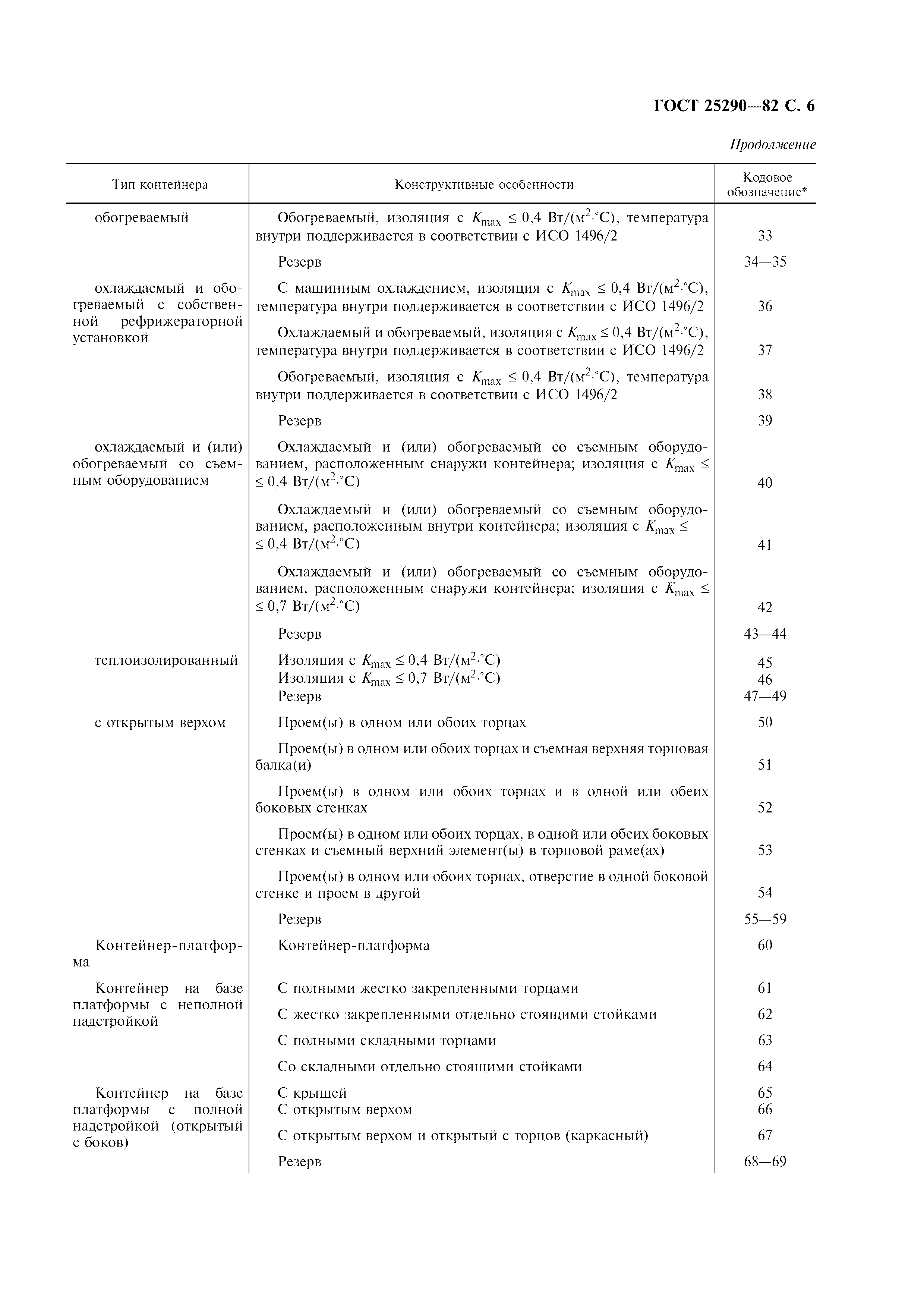
| Название рус.: | Контейнеры крупнотоннажные. Маркировочный код |
| Название англ.: | Large containers. Marking code |
| Дата актуализации текста: | 06.04.2015 |
| Дата актуализации описания: | 01.07.2023 |
| Дата издания: | 01.03.2004 |
| Дата введения: | 01.01.1984 |
| Дата окончания срока действия: | 01.07.2006 |
| Код ОКП: | 317713 |
| Нормативные ссылки: | ISO 3166:1974;ISO 6346:1984; ГОСТ 20231-83; ГОСТ 25588-83;СТ СЭВ 3550-82 |
| Область применения: | Настоящий стандарт устанавливает маркировочный код для обозначения характеристик крупнотоннажных контейнеров, принадлежащих различным владельцам и предназначенных для внутреннего и международного обращения |
| Список изменений: | №0 от 30.06.2006 (рег. 29.12.2005) «Поправка к изменению» №1 от 01.01.1984 (рег. 08.09.1983) «Срок действия продлен» №2 от 01.07.1987 (рег. 23.03.1987) «Срок действия продлен» |
|